Ellär

Jag har tänkt så här:
resistoren p3 kommer att utveckla minst effekt. Detta beror på att det kommer att gå minst ström genom denna resistoren. P3 har störst resistans och detta betyder en stor motstånd som hindrar strömmen att gå igenom.
Resistoren p1 kommer att utveckla störst effekt. Detta beror på att strömmen som kommer att gå igenom denna resistoren är störst i hela kretsen.
Om jag ska rangordna resistorerna efter hur stor effekt som utvecklas i var och en av resistorerna så skulle jag rangordna de på det sättet:
p1(störst effekt), p2, p3(minst effekt)
Tänker jag rätt eller har jag fel?!
Lägg in bilden på rätt håll! Nu känner jag mig så här:

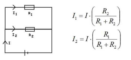
Annars kan man tillämpa strömdelning.

lolo skrev:Jag har tänkt så här:
resistoren p3 kommer att utveckla minst effekt. Detta beror på att det kommer att gå minst ström genom denna resistoren. P3 har störst resistans och detta betyder en stor motstånd som hindrar strömmen att gå igenom.
Resistoren p1 kommer att utveckla störst effekt. Detta beror på att strömmen som kommer att gå igenom denna resistoren är störst i hela kretsen.
Om jag ska rangordna resistorerna efter hur stor effekt som utvecklas i var och en av resistorerna så skulle jag rangordna de på det sättet:
p1(störst effekt), p2, p3(minst effekt)
Tänker jag rätt eller har jag fel?!
Du tänker helt rätt och gör precis det som jag tror är meningen vilket är att försöka formulera en intuition för kretsar. Om kommer alltid i en parallellkoppling. Tyvärr är det så att det inte riktigt är helt självklart hur ligger till utan om resistansen i denna är låg kan effekten i denna vara lägst i kretsen (även om strömmen är störst).
För din krets stämmer din rangordning men betrakta denna krets istället:
I denna har vi att . Det kan vara svårt att veta detta utan att räkna på det så rekommendationen är oftast att räkna på det även om det är fördelaktigt att lära sig ha ett hum.
Affe Jkpg skrev:Annars kan man tillämpa strömdelning.