Ellära
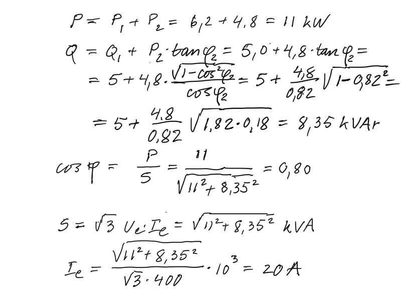
Två motorer är parallellkopplade till ett växelströmsnät 400 V, 50 Hz. Motorerna har följande
data: Motor 1, P=6,2 kW med Q=5,0 kVAr,
Motor 2, P=4,8 kW och effektfaktorn 0,82
a) Bestäm storleken på strömmen i matarledningen och anläggningens totala effektfaktor.
b) För att få ned matarströmmen ska en kondensator kopplas in parallellt med motorerna.
Hur stor kondensator krävs för att få upp effektfaktorn till 0,95
c) Hur stor blir då den nya strömmen
jag behöver lite ledtråd för att kunna lösa uppgiften, i a) tror jag att jag ska använda Ie= P1 /(Ue . cos (fi)) skulle jag få några ledtrådar som kan hjälpa mig att lösa uppgiften
1. Spänningen är samma för de två motorerna.
2. Fasvinkeln mellan ström och spänning för varje motor är fi.
3. Matarströmmen är summan av strömmen till respektive motor.
Kommer du vidare?
Nej, skulle jag kunna få lite hjälp till, t.ex. även om jag vill att de har samma spänning, hur ska jag räkna strömmen ?
Du borde kunna använda den formel du skrivit upp, för varje motor, dvs
Detta ger dig storlekarna på motorströmmarna. för varje motor får man från reell och reaktiv effekt i uppgifttexten.
Sedan blir
vilket är svaret på a.
(Jag är lite rostig på detta, men jag tycker det borde bli såhär)
Några beräkningar för att komma igång med uppgiften.

Jan Ragnar skrev:Några beräkningar för att komma igång med uppgiften.
@Jan Ragnar: Är det underförstått att det är trefasmotorer det handlar om? Jag är nog för ringrostig för detta!
I och för sig står det inte uttryckligen att det är det, men 400 V är ju inte inte fasspänning.
11 kW på en fas verkar inte praktiskt.
Jan Ragnar skrev:I och för sig står det inte uttryckligen att det är det, men 400 V är ju inte inte fasspänning.
11 kW på en fas verkar inte praktiskt.
Du har naturligtvis rätt!