2
svar
176
visningar
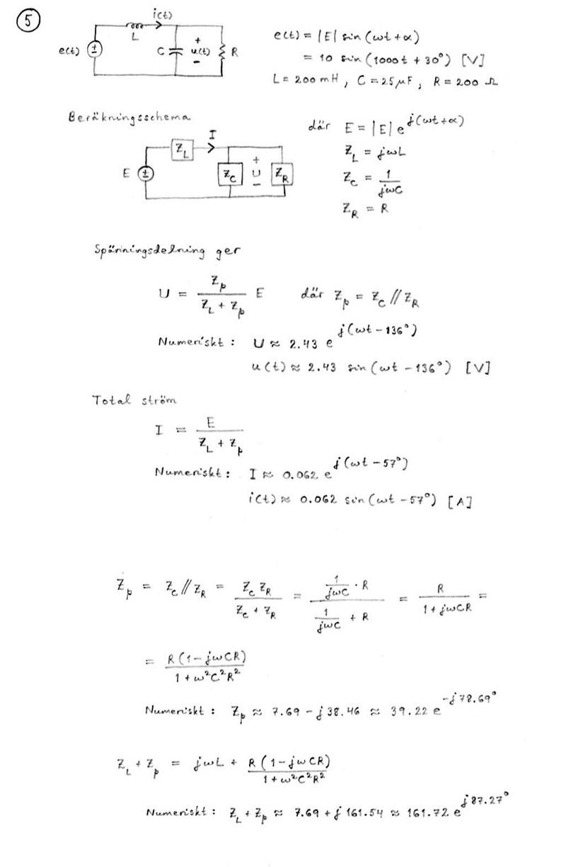
Ellära - beräkna spänningen u(t) och strömmen i(t)

Jag följer lösningen till uppgiften under. Jag fattar inte hur han kom fram till att
Så jag antar min fråga är hur man räknar ut Zp = Zc // Zr ?

Lösningen är skriven i lite konstig ordningsföljd.
För att komma fram till 2.43V måste man läsa lösningarna "längre ner".
Zp är också beräknad "längre ner"
Affe Jkpg skrev :Lösningen är skriven i lite konstig ordningsföljd.
För att komma fram till 2.43V måste man läsa lösningarna "längre ner".Zp är också beräknad "längre ner"
Ja okej tack det missade jag (y)