3
svar
109
visningar
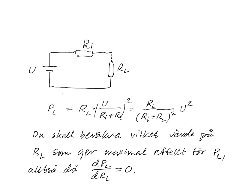
Ellära inre resistans

Kommer hit men sedan tar det slut oavsett hur jag vänder och vrider.
Ojojdå skrev:Kommer hit men sedan tar det slut oavsett hur jag vänder och vrider.
Du får nog vrida så att vi kan läsa...
