3
svar
317
visningar
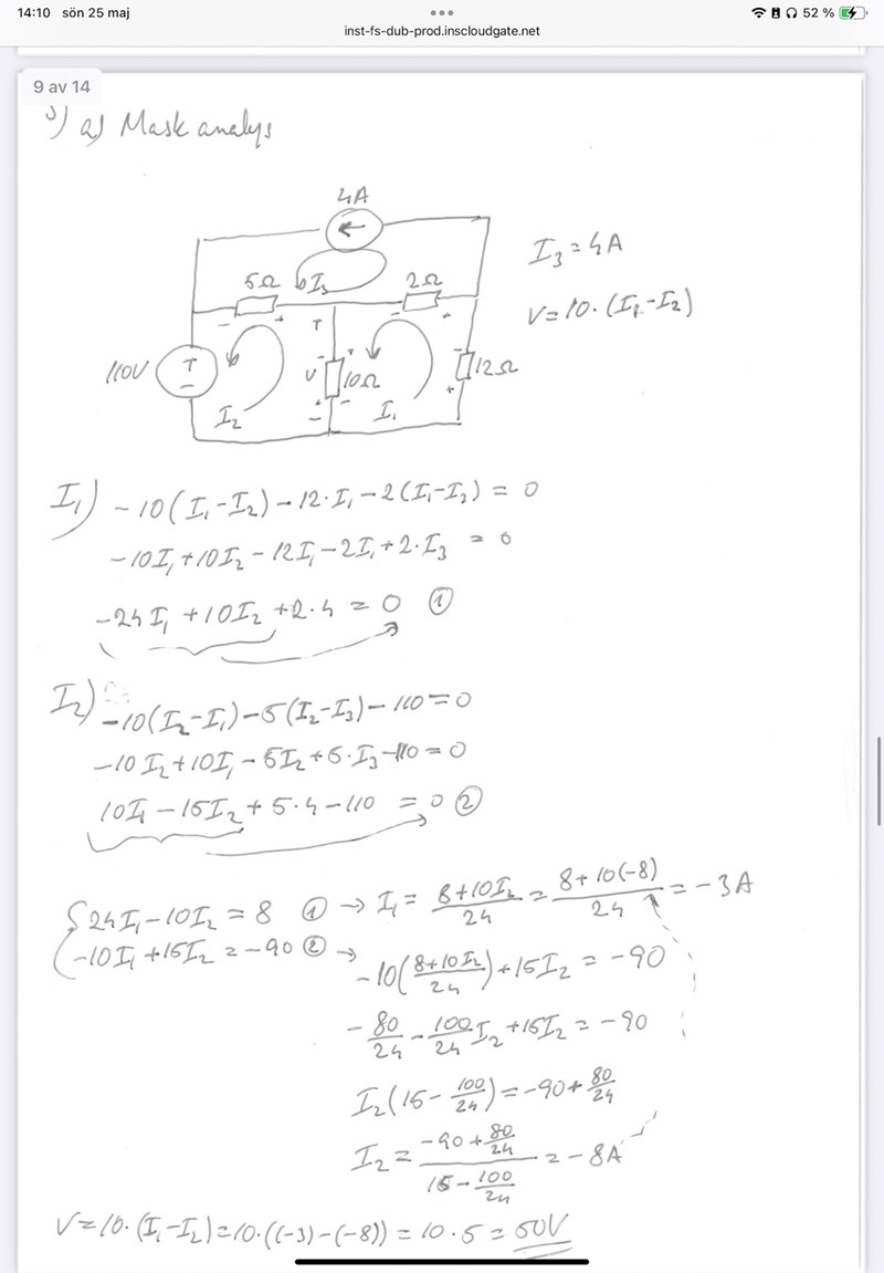
Ellära maskanalys
Har otroligt svårt att förstå riktningarna när man gör maskanalys, föstår att om ström går genom resistor så sätter jag ett negativt värde. Det jag inte förstår ör hur ”maskens riktning” vare sig moturs eller medurs inte påverkar.

En enkel förklaring skulle kunna vara ekvationen:
x-y=0
som är ekvivalent med:
y-x=0
Att byta tecken i ekvationen motsvarar att byta riktning i maskanalysen.
Magnus O skrev:En enkel förklaring skulle kunna vara ekvationen:
x-y=0
som är ekvivalent med:
y-x=0
Att byta tecken i ekvationen motsvarar att byta riktning i maskanalysen.
Det är precis det jag gjort, ekvationerna blir inte samma.
Det stämmer att ekvationerna blir olika men lösningarna blir oberoende av riktningen på maskorna.