Ellära spänningstvåpol
Här kommer uppgiften.

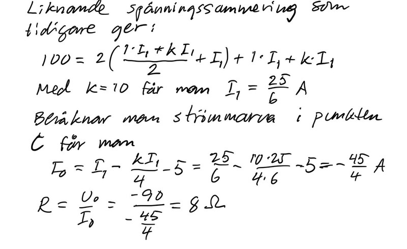
Jag har uppenbarligen svårt att "koppla" sista delen av detta kapitel. Enl facit borde det vara 90v och 8ohm. Såhär har jag gjort:

Men det blir fel då jag får det till tomgångsspänningen 20+10×70/6=410/3 men de ska bli 90... någon som ser eller kan förklara hur jag bör tänka?!
Jag skulle vara osäker på om man får rita om strömkällan//4Ω på det där sättet.
Jag skulle använda Kirchhoffs lagar om jag fick sådana hemska problem...
Pieter Kuiper skrev:Jag skulle vara osäker på om man får rita om strömkällan//4Ω på det där sättet.
Jag skulle använda Kirchhoffs lagar om jag fick sådana hemska problem...
Jag får inte till det med Kirchoffs lagar heller, blir rörigt. Är i1=I1 eller är det något där jag inte fattat. Jag har för mig att de nämnde ngt om att kite bokstav typ är växelström och stor likström, men jag vet inte isf vilken inverkan det har. Jag fattar verkligen inte 😥
Jan Ragnar skrev:
Tusen tack 💐!!! Äntligen ser jag vad jag gjort för fel!




