2
svar
114
visningar
Korra behöver inte mer hjälp
+ eller - laddad (Electricity)
Hej.
Har jag tillräckligt med information i denna uppgift för att avgöra om den okända laddningen är + eller - ?
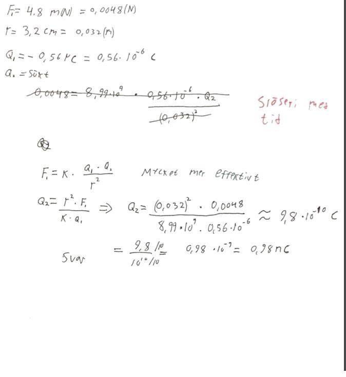
"En negativ laddning på 0,56micro C påverkas av en attraherande kraft på 4,8 mN från en okänd laddning på 3,2 cm avstånd. Vad har den okända laddningen för storlek?"
Jag tänker att + + repelerar varandra, - - repelerar varandra men + och - attraherar varandra och eftersom att det står "attraherande kraft" så måste den okända laddningen vara positiv. Har jag fel ?
Min lösning
Tack!
Helt riktigt!
Teraeagle skrev:Helt riktigt!
Tack så mycket, snart är jag lika duktig som Benjamin Franklin ska du se!