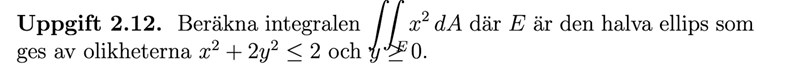
Ellips + dubbelintegral
Hej! Har fastnat igen på en uppgift här, har gjort om till polära koordinater och har fått detta: Men när Jag räknar ut den får jag inte rätt svar.. var har jag gjort fel?

r går från 0 till denna övre gräns, tror jag?
För ellipser kan man vara lite finurligare när det kommer till variabelbytet så att man ändå får r2 trots att det står 2y2. Ett sätt för att uppnå detta är att sätta x=sqrt(2)rcos(theta) istället. Kan du se själv hur det blir då?
Nej tyvärr inte, jag förstår inte själva tankesättet? Varför skulle man göra Så? Jag har fått att enligt parametrisering så är x=sqrt(2)cos(theta) och y=1sin(theta) men jag trodde inte man skulle använda det? Är det så att gränserna ändras då? Att r har en annan övre gräns och att man ska sätta in det x:et i funktionen x2?
Du kan testa gränserna genom att sätta in din parametrisering i olikheten
Förenkla och utnyttja ett känt trigonometriskt samband. Vilka krav gäller alltså på ?
Det är en bra övning för då ser du också var vanliga polära koordinater får den bra egenskapen att just x2+y2 blir r2.