Ellära - Spänning mellan två punkter

Jag var inte helt säker på hur jag skulle räkna ut det efterfrågade men gick på känsla och gjorde som följande:
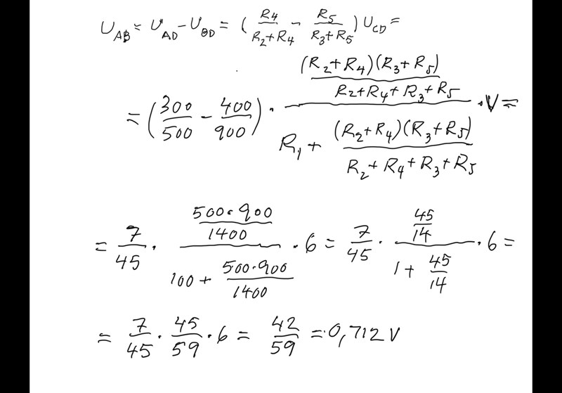
1. Ersatte alla resistorer med en resistor, för att få .
2. M.h.a. räknade jag ut (de "tillfälliga") delspänningarna över och . Se bild.
3. Med delspänningarna räknade jag ut delströmmarna.
4. Därefter räknade jag ut (de "slutgiltiga") delspänningarna och .
5. Sedan gjorde jag:
Enligt facit är det första (1) rätt, men jag förstår inte vad jag har räknat ut riktigt och varför jag får olika tecken beroende på vilka resistorer jag tar.
La in din bild i stället för bara länken. /moderator
Eftersom R4 är större än R2 och R5 mindre än R3 så är den sökta spänningen positiv. Troligtvis har du gjort ett teckenfel i någon beräkning.
