En andragradsfunktion
Så långt har jag kommit

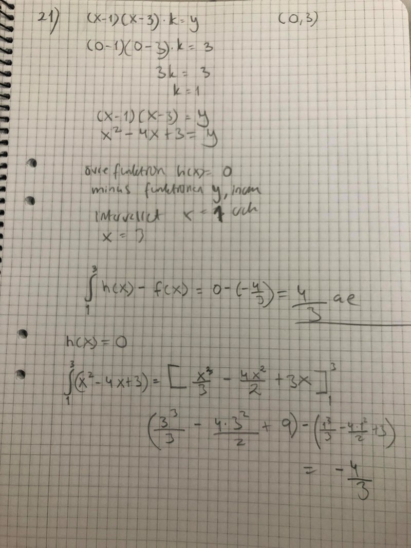
Arean under funktionen är 4/3 ae. Sen fastnar jag.
vad menar man med att arean mellan två kurvor alltid är integralen av "övre funktion" minus "undre funktion". Jag förstår inte vad det här innebär. Kan någon ge exempel och förklara vad som menas. Och i vilka fall det här ska användas?
Med din integral borde man få -4/3. Men nu vill man ha arean, inte integralen. Vad är skillnaden? En integral kan vara negativ, det kan inte en area. Vad kan man göra åt det då? I den här uppgiften kan man bara beräkna integralen och säga att "arean är 4/3 inte -4/3 för att en area kan inte vara negativ", men mer generellt:
A = .
"Arean mellan g(x) och f(x)". Man har absolutbelopp för att om det blir negativt så får man ett positivt svar istället. Det här är "övre funktion - undre funktion" som du nämner. Om man vill använda det här kan man ju tänka att x-axeln är en "övre funktion" g(x) = 0. Så då får du exakt det du räknat ut fast - framför integranden, och då ska svaret blir arean 4/3.
Okej men hur räknar man ut arean av det markerade området?
Katarina149 skrev:Okej men hur räknar man ut arean av det markerade området?
jag gav väl två options
1. som du gjort, fast tror du gjort fel nånstans för det ska bli -4/3 inte 4/3, men sen när du fått -4/3 kan du säga att arean är 4/3 för en area kan inte vara negativ.
2. använd övre - undre funktion formeln, där övre funktionen är x-axeln ("linjen y = 0")
Edit: på slutet tog du F(1) - F(3), ska vara F(3) - F(1) det är det som är felet
Det är steg 2 som jag inte förstår. Vad menas med att man ska använda övre - undre funktion formeln, där övre funktionen är x-axeln?
Är min uträkning är rätt?
fick svaret att arean är 4/3ae