En andragradsfunktion i förhållande till två rätvinkliga funktioner
"visa att tangenterna till kurvan y = x^2 som går igenom punkten (-1, (-1/4)) bildar en rät vinkel mot varandra"

Jag tänkte mig att man kanske skulle använda sig av en punkt och köra och sedan köra k * k = -1. Men det är inte rätt enligt facit. Facit svarar så här, först och främst använder de enpunktsform y - y_1 = k(x-x_1), sedan substituterar de y för x^2 vilket jag hänger med på, men på slutet så använder de pq formeln och antar att diskriminanten ska vara lika med 0 vilket jag inte förstår varför sedan där ned hänger jag inte med. Alltså de kommer fram till två olika k värden vilket de ska göra, alltså jag fattar att när diskriminanten är 0 då finns det bara 1 lösning, men jag förstår inte riktigt varför det har med saken att göra.
fortsatta hypoteser:
totalt använder de två funktioner; x^2 = y och y- y_1 = k(x-x_1), när de substituterar x^2 så vill de ha ett gemensamt x värde (dvs. där de skär) de fortsätter med att förenkla och kommer fram till pq-formeln, eftersom det är en andragrads ekvation så kommer den eventuellt ha två lösningar, men de antar att diskriminanten är 0, så de påpekar att de kommer skära en gång, men det ska ge två olika k värden, så varför antar de att diskriminanten är 0?
Har ni gått igenom derivator än? Om man har lärt sig derivator, är det den metoden jag skulle använda på den här uppgiften.
Smaragdalena skrev :Har ni gått igenom derivator än? Om man har lärt sig derivator, är det den metoden jag skulle använda på den här uppgiften.
aaa vi har gått igenom detivator det här är nästsista uppgiften på derivata kapitlet, men jag har ingen aning hur och facit använder inte äns derivata på det sättet.
HaCurry skrev :"visa att tangenterna till kurvan y = x^2 som går igenom punkten (-1, (-1/4)) bildar en rät vinkel mot varandra"
Jag tänkte mig att man kanske skulle använda sig av en punkt och köra och sedan köra k * k = -1. Men det är inte rätt enligt facit. Facit svarar så här, först och främst använder de enpunktsform y - y_1 = k(x-x_1), sedan substituterar de y för x^2 vilket jag hänger med på, men på slutet så använder de pq formeln och antar att diskriminanten ska vara lika med 0 vilket jag inte förstår varför sedan där ned hänger jag inte med. Alltså de kommer fram till två olika k värden vilket de ska göra, alltså jag fattar att när diskriminanten är 0 då finns det bara 1 lösning, men jag förstår inte riktigt varför det har med saken att göra.
fortsatta hypoteser:
totalt använder de två funktioner; x^2 = y och y- y_1 = k(x-x_1), när de substituterar x^2 så vill de ha ett gemensamt x värde (dvs. där de skär) de fortsätter med att förenkla och kommer fram till pq-formeln, eftersom det är en andragrads ekvation så kommer den eventuellt ha två lösningar, men de antar att diskriminanten är 0, så de påpekar att de kommer skära en gång, men det ska ge två olika k värden, så varför antar de att diskriminanten är 0?

Det skulle verkligen vara bra med en extra rad där, som förklarar hur de kommer fram till att de vill ha ett enda x-värde - om man bara vill ha ett x-värde letar men efter en dubbelrot, så då skall diskriminanten vara 0. Om de vet att de bara vill ha ett enda x-värde, så är det x-värdet k/2 och man kan sätta in det värdet i stället för x i ekvationen, som de gjort på nästa rad. Sedan får de fram två olika värden på k, som gör att x får två olika värden fastän det bara skulle ha ett värde - nej, jag hänger inte heller med där.
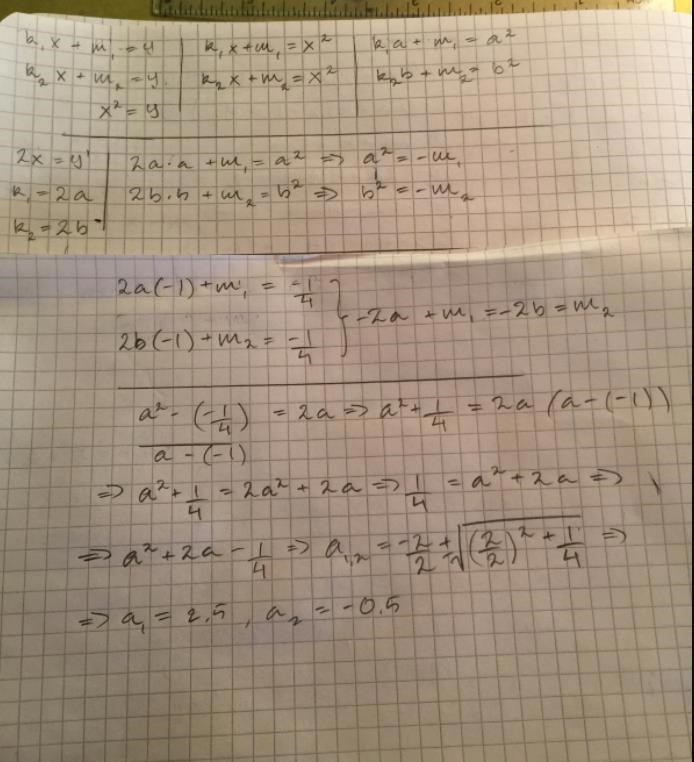
Jag skulle ha valt en helt annan strategi. Först skulle jag ha konstaterat att derivatan = 2x, och välja två (ännu okända) punkter på kurvan med koordinaterna respektive , räkna fram de båda tangenterna som går genom punkten (-1,-1/4) och vardera punkten,så borde jag få ett ekvationssystem med två ekvationer och två obekanta. När jag har fått fram a och b kollar jag om produkten av de båda k-värdena är -1, och i så fall har jag bevisat påståendet.
Att facit gör på ett annat sätt än du gjort, betyder inte (i alla fall inte nödvändigtvis) att ditt sätt är fel. Du har inte beskrivit din metod tillräckligt tydligt för att jag skall kunna förstå hur du har tänkt, och därför kan jag inte säga om din metod funkar eller inte.
Smaragdalena skrev :Det skulle verkligen vara bra med en extra rad där, som förklarar hur de kommer fram till att de vill ha ett enda x-värde - om man bara vill ha ett x-värde letar men efter en dubbelrot, så då skall diskriminanten vara 0. Om de vet att de bara vill ha ett enda x-värde, så är det x-värdet k/2 och man kan sätta in det värdet i stället för x i ekvationen, som de gjort på nästa rad. Sedan får de fram två olika värden på k, som gör att x får två olika värden fastän det bara skulle ha ett värde - nej, jag hänger inte heller med där.
Jag skulle ha valt en helt annan strategi. Först skulle jag ha konstaterat att derivatan = 2x, och välja två (ännu okända) punkter på kurvan med koordinaterna respektive , räkna fram de båda tangenterna som går genom punkten (-1,-1/4) och vardera punkten,så borde jag få ett ekvationssystem med två ekvationer och två obekanta. När jag har fått fram a och b kollar jag om produkten av de båda k-värdena är -1, och i så fall har jag bevisat påståendet.
Att facit gör på ett annat sätt än du gjort, betyder inte (i alla fall inte nödvändigtvis) att ditt sätt är fel. Du har inte beskrivit din metod tillräckligt tydligt för att jag skall kunna förstå hur du har tänkt, och därför kan jag inte säga om din metod funkar eller inte.
Jag försökte göra som du men får något helt konstigt:
Det ser ut som om du har tagit fram de båda x-värdena som jag kallade a och b och du har kallat och . Du vet nu att de båda k-värdena är respektive . Blir det -1 när man multiplicerar dessa båda värden?
EDIT: Jag har inte kontrollräknat dina siffror, men jämfört med bilden ser det inte riktigt rätt ut.