En behållare som fylls med färg och lösningsmedel



Jag förstår inte hur man gör på dessa uppgifter. Jag vet att differentialekvationen kan skrivas y'= IN-UT.
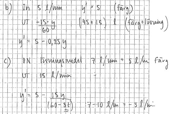
För b) förstår jag att hastigheten in är 5 liter/min. Men jag förstår inte varför UT blir vad det blir. Jag tror att jag förstår enheterna, det vill säga 15 liter/min multiplicerat med y liter och delat med 60 liter, ger liter/min. Men jag förstår inte varför man tar de värdena.
För c) förstår jag inte alls :(
Facit är här nedan:

Är du med på att det i varje ögonblick finns y liter färgämne i tanken, vars volym är 60 l? Är du med på att koncentrationen av färgämne är y/60?
Kanske inte riktigt... Om koncentrationen är y/60 vad blir det för enhet? liter/liter?
Avokado12345 skrev:Kanske inte riktigt... Om koncentrationen är y/60 vad blir det för enhet? liter/liter?
Ja. Som kemist tycker jag att det är en konstig enhet.
Okej, men hur tänker man sen?
Om man pumpar ut 15 liter av en färglösning vars koncentration är y/60 så innehåller lösningen ... liter färg.
(15y)/60? Och då tänker man alltså att det är y/60 liter färg per liter, och eftersom det pumpas ut 15 liter blir det alltså (15y)/60 liter? Jag börjar förstå tror jag!! Men hur gör man på c)?
Om man pumpar in 5+7 = 12 liter per minut men fortfarande pumpar ut 15 liter, så kommer volymen i tanken att minska. Då får du dela med v(t) istället för med 60.
Okej, men jag förstår fortfarande inte varför det blir (60-3t)?
Om det rinner ut 3 liter mer än vad det rinner ut varje sekund, och det var 60 liter från början, så...
Nu förstår jag. Tack!!