4
svar
83
visningar
offan123 behöver inte mer hjälp
En bit fattas
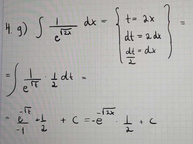
Jag ska lösa denna primitiva funktion men det fattas en bit i svaret.
Facit:
Vad saknas i min lösning? 
Den röda delen stämmer inte, prova t = roten ur 2x istället. Jag vet absolut inte att det kommer att funka men värt att prova tror jag.

Om jag deriverar sista ledet i ditt svar får jag:
h=2x
g=roten ur h
f=-e ^ -g *1/2
f’= -(g’) * f = h’*(-g’) * f = 2 * 1/2*1/roten(2x) * e^-2x * 1/2
inser att det ser rörigt ut men det blir dubbla inre derivator.
Har jag räknat rätt? Tycker det ser lite lovande ut. PI?

Det funkar. Ta upp e^-t och sen pi