1
svar
77
visningar
JonathanIV behöver inte mer hjälp
En dubbelintegral med svåra start och slutvärden.
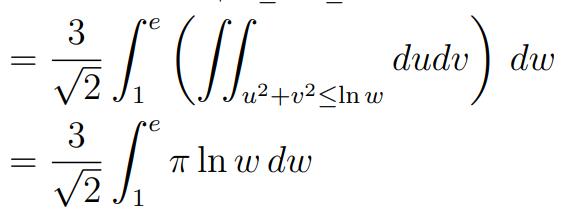
Hej! Vet någon varför dubbelintegralen över dudv ger pi * lnw?

Min första tanke är att vi ska beräkna en area över ett område u^2+v^2 <= ln(w)
Då tänker jag att vi får en cirkel vars radie max är ln(w)
Alltså borde väl arean vara r^2*pi = pi * ln(w)^2 ? Vart har jag tänkt fel?
Vad skulle ni göra?
Radien på din cirkel blir roten ur ln(w).
x^2 +y^2 =r^2
Alltså är r^2 =ln(w)