Om y(0) = c, vad är då y(4)?
Nu förstår jag inte. 4 är ju år. Det ska sättas där x ska vara.
y( 4)= nej jag vet inte.
y(x) = c*a^x
På 4 år har y minskat med 20 % av det ursprungliga värdet. Är du med på att det kan skrivas
y(4) = 0.8*y(0)
?
Detta ger dig värdet på a.
(du vet att
y(0) = c*a^0 = c och y(4) = c*a^4)
Du svarade inte riktigt på frågorna i mitt förra inlägg.
1. På 4 år har y minskat med 20 % av det ursprungliga värdet. Är du med på att det kan skrivas
y(4) = 0.8*y(0)
?
2. Du vet också enligt den formel du använder att
y(4) = c*a^4
(fast du har skrivit 4 = c*a^4 och det stämmer inte)
och även att
y(0) = c*a^0 = c (eftersom a^0 = 1, eller hur?)
3. Kombinerar du 1. och 2. ovan så får du att
y(4) = 0.8*y(0)
är samma sak som
c*a^4 = 0.8*c
Värdet på a kan du då lösa ut.
Spelar värdet på c någon roll för att lösa uppgiften?
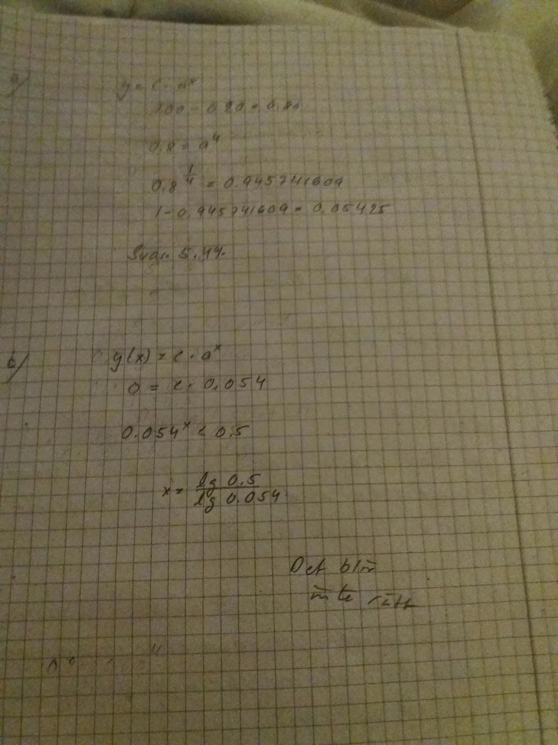
På b) får du istället lösa olikheten
y(x) < 0.5*y(0)
Hur set det ut om du ställer upp olikheten och förenklar?
Vad ska jag skriva andra sidan?
Är du med på att efter x år så är utsläppen
y(x) = c*a^x
a har du räknat ut.
Från början var utsläppen
y(0) = c*a^0 = c
Frågan är efter hur många år (x) är utsläppen mindre än hälften av vad de var från början, alltså 0.5*y(0) = 0.5*c.
Det ger olikheten
c*a^x < 0.5*c
Du verkar använda att a = 0.054, men det stämmer väl inte?
Ska det vara då a =0. 945?
Ja, precis
a = 0.8^(1/4)
Det blev inte rätt.
Päivi skrev :
Hej Päivi.
Jag skulle lösa problemet på följande sätt:
Uppgift a)
Vi kallar förändringsfaktorn under ett år för . Den totala förändringsfaktorn efter 4 år är då . Eftersom minskningen under denna tid ska vara sammanlagt 20 procent så ska den totala förändringsfaktorn vara 0,8.
Det ger oss ekvationen , med lösningen , vilket innebär att .
Om förändringsfaktorn är 0,9457 så är minskningen
Svar: Den årliga minskningen bör vara cirka 5,4 %
Uppgift b)
Vi vill att den totala förändringsfaktorn ska vara åtminstone 0,5. Vi räknar ut hur många år t det tar tills den totala förändringsfaktorn är 0,5. Vi använder nu det exakta värdet på den årliga förändringsfaktorn, nämligen .
Vi vill alltså att
Vi logaritmerar bägge sidor:
Använd logaritmlag på högerledet:
Dividera med :
Beräkna t:
Svar: Utsläppen kommer att ha minskat till hälften av de ursprungliga efter 13 år.
Va miniräknaren är petig.
Tack för detta, Yngve!




