En fundering kring centerfrekvensen/resonansfrekvensen.
Jag är med på att Centerfrekvensen, , är definierad som den frekvens då all imaginär impedans är lika med noll => .
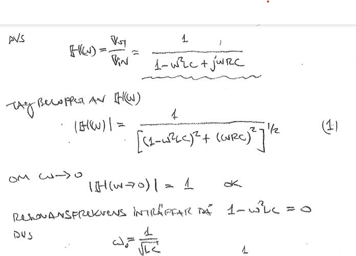
Det jag är fundersam över är denna bit ur en facit (se figur). Det dem gör är att dem tar den reella delen av överföringsfunktionen = 0 => Det blir uppenbarligen rätt, men varför? Det känns väl ändå rimligare att vi isåfall skulle ta den imaginära delen = 0?
Det där är väl imaginärdelen?
Eller har jag missuppfattat det hela?
Sen undrar jag om det handskrivna handlar om resonans. Varför ?
ThomasN skrev:Det där är väl imaginärdelen?
Eller har jag missuppfattat det hela?
Sen undrar jag om det handskrivna handlar om resonans. Varför ?
Precis, det jag skrev högst upp är det imaginära. I bilden har vi (i nämnaren) (1-w^2LC +jwRC)= ((1-w^2LC)+(jwRC)), första reellt, andra icke. Lösning av den första ger rätt ekvation. Kanske är jag som snurrar..
Det handlar om resonansfrekvens o centerfrekvens.
Jag tänkte mig en serieresonanskrets, alltså ett R, ett C och ett L kopplade i serie. Då blir impedansen:
Och den har sin lägsta impedans när imaginärdelen är noll.
H(w) ser mer ut som ett lågpassfilter, eller? Som sagt, jag kanske har missuppfattat.
ThomasN skrev:Jag tänkte mig en serieresonanskrets, alltså ett R, ett C och ett L kopplade i serie. Då blir impedansen:
Och den har sin lägsta impedans när imaginärdelen är noll.
H(w) ser mer ut som ett lågpassfilter, eller? Som sagt, jag kanske har missuppfattat.
Ok. Detta börjar bli rimligt. Tack.