5 svar
147 visningar
Themuslim7 behöver inte mer hjälp
Themuslim7 162
Postad: 7 jan 2024 20:58

en funktion - två integraler?

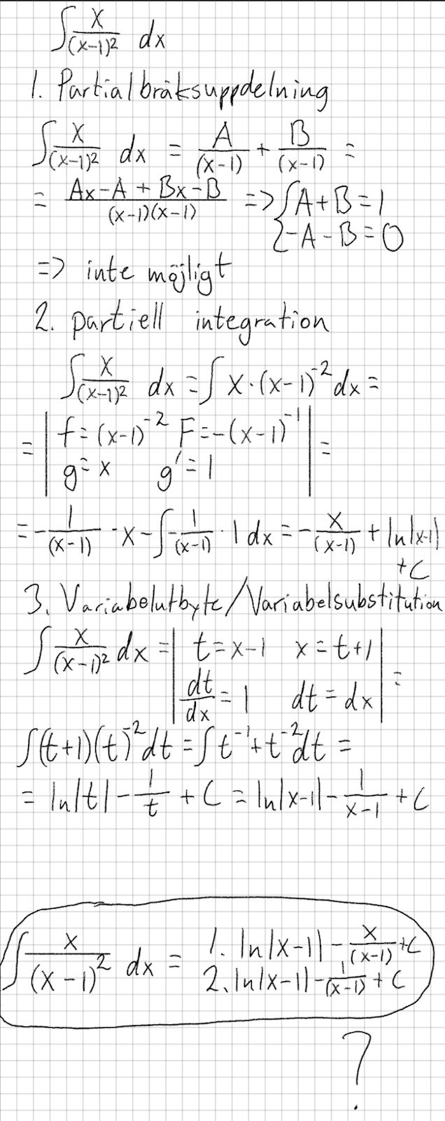
Integration vill inte komma överens, hur är detta möjligt?:

ItzErre 1575
Postad: 7 jan 2024 21:08

Ansätt istället 

A(x-1)+B(x-1)2

i din partialbråksuppdelning 

Themuslim7 162
Postad: 7 jan 2024 21:09
ItzErre skrev:

Ansätt istället 

A(x-1)+B(x-1)2

i din partialbråksuppdelning 

Hur vet man från början att detta är ett bättre val, kan man ansätta med vad som?

ItzErre 1575
Postad: 7 jan 2024 21:10
Themuslim7 skrev:
ItzErre skrev:

Ansätt istället 

A(x-1)+B(x-1)2

i din partialbråksuppdelning 

Hur vet man från början att detta är ett bättre val, kan man ansätta med vad som?

Nej, det finns tydliga regler

Läs gärna här: https://sv.wikipedia.org/wiki/Partialbråksuppdelning

Themuslim7 162
Postad: 7 jan 2024 21:12
ItzErre skrev:
Themuslim7 skrev:
ItzErre skrev:

Ansätt istället 

A(x-1)+B(x-1)2

i din partialbråksuppdelning 

Hur vet man från början att detta är ett bättre val, kan man ansätta med vad som?

Nej, det finns tydliga regler

Läs gärna här: https://sv.wikipedia.org/wiki/Partialbråksuppdelning

utöver patrialbråksuppdelning, varför ger de andra två metoderna olika funktioner

ItzErre 1575
Postad: 7 jan 2024 21:13 Redigerad: 7 jan 2024 21:14

har inte kollat på lösningarna så att beräkningarna stämmer men notera:

xx-1=x-1+1x-1=1+1x-1

Dvs lösningarna skiljer sig med en konstant 

Svara
Close