En funktion vars fouriertransform är lika med f(w)


Hej!
Jag vet att det redan finns en tråd ute om just denna uppgift förut. Men jag valde att lösa 4b mha definitionen för invers fouriertransformen och lyckas inte få samma svar som facit. Vad har gått snett här?
PATENTERAMERA skrev:
Men vad är det för substitution du inför? Jag har inget sånt ibörjan av min lösning. Måste man införa den där okända substitutionen för att få fram rätt svar?
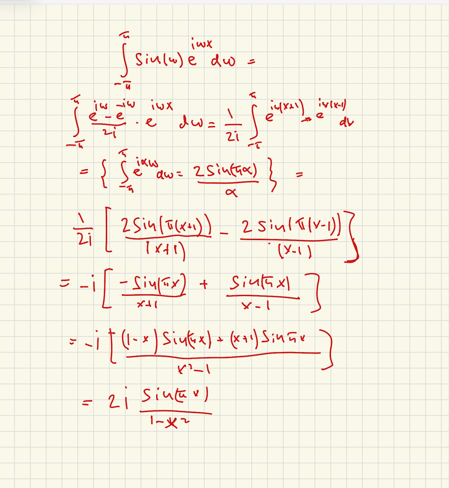
Jag använder formeln två gånger. En gång med alfa = x+1 och sedan med alfa = x-1.
PATENTERAMERA skrev:Jag använder formeln två gånger. En gång med alfa = x+1 och sedan med alfa = x-1.
Jag förstår inte vilken formel du använder. Sen kommenterar du inte på min lösning i #1 vilket är svårt att veta här om min metod är fel/rätt eller om det saknas något steg. Såhär fick jag

PATENTERAMERA skrev:
Ja tack! Jag märkte det också. Då blir det såhär , men vet ej hur jag ska gå vidare efter sista uttrycket. Något känns knas..


Använd sin(v +/- pi) = -sinv.
PATENTERAMERA skrev:Använd sin(v +/- pi) = -sinv.
Aha du menar att skriva om sin(pi(x+1))=sin(pi(x))?



