14 svar
911 visningar
Lisa14500 1536 – Fd. Medlem
Postad: 24 okt 2020 12:54 Redigerad: 24 okt 2020 12:55

En hiss

En hiss startar från första våningen uppåt. Höjden h i meter över första våningen efter t sekunder kan bestämmas med sambandet

 h(t)=0,5t2−0,06t3 

a) Hissen stannar då hastigheten är noll. Hur högt är hissen då?

b) Hur stor är hissens acceleration när den just startat?

Hur man kmr vidare?

KnatteMatte 3
Postad: 24 okt 2020 13:15

Titta igenom din derivering av tredjegradstermen!

Lisa14500 1536 – Fd. Medlem
Postad: 24 okt 2020 13:19

Vad är felet? Jag ser inte felet?

KnatteMatte 3
Postad: 24 okt 2020 13:26

Tänk på att det är bara exponenten som ”hoppar ner” när du deriverar. 

Lisa14500 1536 – Fd. Medlem
Postad: 24 okt 2020 13:51

Det ska alltså bli 

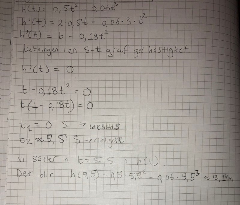
h’(t)= t-0.18t^2

Hur kommer jag vidare?

KnatteMatte 3
Postad: 24 okt 2020 14:17

Lös ekvationen h’(t) = 0 för att hitta vid vilken tidpunkt som hissar stannar. Undersök sedan med den ursprungliga funktion h(t) för att hitta vilken höjd som det värdet du hittade korresponderar mot. Observera att h’(t) = 0 har två lösningar, en vid tidpunkten 0 (innan hissen börjat röra på sig) och en annan när hissen har rört sig ett tag. Du kan dock anta att de söker höjden för det sistnämnda.

Lisa14500 1536 – Fd. Medlem
Postad: 24 okt 2020 23:28 Redigerad: 24 okt 2020 23:30

Är det så du menade? 
B frågan vet jag inte alls hur jag ska göra där?!

Smaragdalena 78892 – Avstängd
Postad: 25 okt 2020 08:30

Tips för b-frågan: accelerationen är derivatan av hastigheten.

Lisa14500 1536 – Fd. Medlem
Postad: 25 okt 2020 11:08

Hur får man fram derivatan av hastigheten? Lutningen i grafen ger Medelhastighet. Ska jag derivera funktionen h’(t)=t-0.18t^2 en gång till? Och därefter sätta t=5.5

Smaragdalena 78892 – Avstängd
Postad: 25 okt 2020 18:14

Ja, du skall beräkna a(t) = v'(t) = h''(t). Nej, varför skulle du sätta in t = 5,5 s när man frågar efter accelerationen när hissen just har startat?

Lisa14500 1536 – Fd. Medlem
Postad: 25 okt 2020 19:01

Vi har inte arbetat med andra derivata

Smaragdalena 78892 – Avstängd
Postad: 25 okt 2020 20:24

Det är bara att derivera förstaderivatan en gång till.

Lisa14500 1536 – Fd. Medlem
Postad: 25 okt 2020 20:42

Okej då deriverar jag uttrycket h(t)= t-0.18t^2 

h”(t)= -2*0.18t =-0.36t

Smaragdalena 78892 – Avstängd
Postad: 25 okt 2020 21:07

Nja, vad är derivatan av t?

Lisa14500 1536 – Fd. Medlem
Postad: 26 okt 2020 21:41

h”(t)=1-2*0.18t

h”(t)=1-0.36t

hissen stannar då h(t)=0 alltså är det lutningen då h(t)=0 som vi söker. 

h”(t)=1-0.36t=0 

1=0.36t

t= (1)/(0.36)~2.8s

sen ska jag sätta in t=2.8s i funktionen  1-0.36*2.8=-0.008m/s^2

Svara
Close