4
svar
155
visningar
Ludwiggle behöver inte mer hjälp
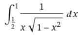
En klurig integral
Hur går man till väga här?

Testa göra substitutionen u=sqrt(1-x^2)
Jag föreslår substitutionen: x = sin(t/2);
Gör den och visa vad du kommit fram till, så kan vi fortsätta från det.
Jag ångrar mig. Det är bättre att göra substitutionen: x = sin t.
elo250 skrev:Testa göra substitutionen u=sqrt(1-x^2)
Ja, jag kom fram till något med detta. Lite spännande att man måste sätta in u i derivatan av u, för att sedan lösa ut x ur u för att kunna ersätta x med u i integralen.