1
svar
129
visningar
Peter.kalle behöver inte mer hjälp
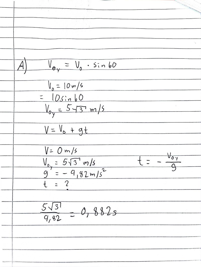
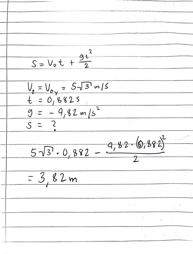
En kropp kastas snett upp
En kropp kastas snett uppåt i 60 graders vinkel mot horisontalplanet. Begynnelsehastigheten är 10 m/s och kroppen har massan 2,0 kg.
A/ Hur länge dröjer det innan kronnen vänder?

B/ Hur högt befinner sig då kroppen över utgångsläget?

Stämmer detta?
Ja, det är rätt.
Men jag tycker det är bättre att skriva formlerna för hastighet och position som
v(t) = v0+at
s(t) = s0+v0t+at2/2
Dvs att du skriver a istället för g och att du har med eventuell startposition s0.