1
svar
266
visningar
afnan.h004 behöver inte mer hjälp
En lördag, 80 gäster
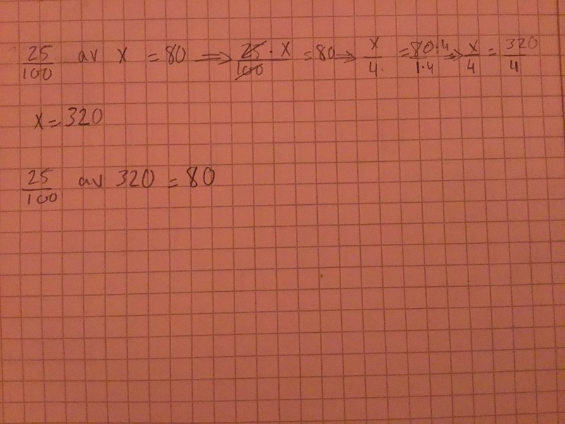
Jag fastnade på den här fråga: En lördag var det 80 gäster på en pub. Lördagen därpå spelade ett band på puben. Då var antalet gäster 250 % fler. Hur många kom till puben lördagen när bandet spelade?
Jag gjorde så här👇🏻👇🏻
Men det stog på facit 280 person.

afnan.h004 skrev:Jag fastnade på den här fråga: En lördag var det 80 gäster på en pub. Lördagen därpå spelade ett band på puben. Då var antalet gäster 250 % fler. Hur många kom till puben lördagen när bandet spelade?
Jag gjorde så här👇🏻👇🏻
Men det stog på facit 280 person.
Om det är 250% fler gäster så ska du multiplicera med 250% för att få hur många fler gäster det var. Sen så var det 80st från början som du inte får glömma att addera.