En rätvinklig triangel…
En rätvinklig triangel har en katet som är 7cm kortare än den andra kateten och en hypotenusa som är 13cm. Bestäm triangelns area. Rita figur.
Jag försökte lösa frågan med hjälp av abc formeln men det slutar bara i att det blir ett negativt tal i kvadrat roten uren, vilket inte kan få en lösning.
Så här har jag försökt lösa det:

Hej,
Kan du visa hur du har använt abc-formeln?
Jag får nämligen ett rimligt svar när jag ritar upp din funktion i en grafritare.
Ekvationen ser rätt ut.
pq-formeln fungerar när termen inte har en siffra framför sig. Så dela alla termer med två först.
Tänk också på teckenbytet framför p och q i formeln.

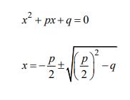
Gissar att det du kallar abc-formeln är denna:
Den fungerar också, men samma teckenbyte där.
@v93semme var kom 5x ifrån?
tack allihopa jag löste den med hjälp av er:)
