En svårare begränsningsvärde uppgift.
Jag får fram att a ska vara större än plus minus roten ur tre. Men det är ju fel enligt facit. Kan någon beskriva för mig hur jag ska tänka med begränsningsvärdena? 
Hur har du räknat, och vad betyder "större än plus minus roten ur tre"? Om ett tal är större än så är det också större än .
Visa hur du har löst a) .
oneplusone2 skrev:Visa hur du har löst a) .
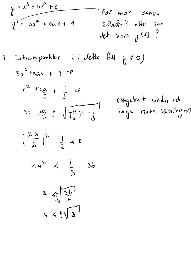
Långt frånd en finaste lösningen, finns några frågor även i bilden. 
Du borde fortfarande tala om vad du menar med plus/minus i en olikhet. Du får noll poäng för en sådan lösning.
Ja du är på rätt väg. Betrakta det som finns innanför rottecknet som en funktion av a f(a). Rita en skiss över f(a). Använd sedan f(a)<0.
För övrigt så innehåller påståendet en motsägelse.
Laguna skrev:Du borde fortfarande tala om vad du menar med plus/minus i en olikhet. Du får noll poäng för en sådan lösning.
Ok, det är ju där jag körfast, förstår inte riktigt hur det går til. a ska ju vara mindre än roten ur tre. Sedan ska den även vara mindre än -roten ur tre. Det går inte ihop. Det stämmer ju inte överens med facit?
a<rot(3) a<-rot(3)?
Men även vad skulle jag behöva göra för att få flera poäng för denna lösning?
OlafJohansson21 skrev:Laguna skrev:Du borde fortfarande tala om vad du menar med plus/minus i en olikhet. Du får noll poäng för en sådan lösning.
Ok, det är ju där jag körfast, förstår inte riktigt hur det går til. a ska ju vara mindre än roten ur tre. Sedan ska den även vara mindre än -roten ur tre. Det går inte ihop. Det stämmer ju inte överens med facit?
a<rot(3) a<-rot(3)?
Men även vad skulle jag behöva göra för att få flera poäng för denna lösning?
Se mitt inlägg ovan.
oneplusone2 skrev:OlafJohansson21 skrev:Laguna skrev:Du borde fortfarande tala om vad du menar med plus/minus i en olikhet. Du får noll poäng för en sådan lösning.
Ok, det är ju där jag körfast, förstår inte riktigt hur det går til. a ska ju vara mindre än roten ur tre. Sedan ska den även vara mindre än -roten ur tre. Det går inte ihop. Det stämmer ju inte överens med facit?
a<rot(3) a<-rot(3)?
Men även vad skulle jag behöva göra för att få flera poäng för denna lösning?
Se mitt inlägg ovan.
Ska läsa din förklaring lite mer i detalj senare, men förstår principen. Men jag undrar fortfarande varför det blir fel med min lösning metod. Det är som du säger en motsägelse, med det uttrycket. Varför blir det så med min lösningen metod? har jag ställt upp något fel?
Mha en grafisk bild av uppgiften så hade man förhoppningsvis upptäckt motsägelsen och rättat till den.
Att det blir fel i din algebraiska hantering beror på +/- grejen i kombination med olikheten. +/- grejen som man brukar använda sig av är ingen matematisk operation, det är mer en tumregel som man använder sig av då vanlig likhet gäller. Grundregeln i ekvationer är ju att det man gör på en sida av en ekvation måste göras likvärdigt på den andra, annars rubbas likheten:
Ta roten ur båda sidorna.
Hittills så har vi gjort allting korrekt. Detta reflekteras i att a<roten(3) faktiskt är en korrekt del av lösningen. Om man sedan inför +/-
så har vi här gjort en förändring som inte har påverkat VL och HL likvärt. Det är här det blir fel.
Mer korrekt blir det om man inför absolutbelopp:
och då blir det rätt.
oneplusone2 skrev:Mha en grafisk bild av uppgiften så hade man förhoppningsvis upptäckt motsägelsen och rättat till den.
Att det blir fel i din algebraiska hantering beror på +/- grejen i kombination med olikheten. +/- grejen som man brukar använda sig av är ingen matematisk operation, det är mer en tumregel som man använder sig av då vanlig likhet gäller. Grundregeln i ekvationer är ju att det man gör på en sida av en ekvation måste göras likvärdigt på den andra, annars rubbas likheten:
Ta roten ur båda sidorna.
Hittills så har vi gjort allting korrekt. Detta reflekteras i att a<roten(3) faktiskt är en korrekt del av lösningen. Om man sedan inför +/-
så har vi här gjort en förändring som inte har påverkat VL och HL likvärt. Det är här det blir fel.
Mer korrekt blir det om man inför absolutbelopp:
och då blir det rätt.
Säg till ifall jag nu har tänkt fel på b) och c) uppgiften. I b kan man anänvda sig av plus minus då det är en likhet och inte en olikhet. När man däremot löser c använder man absolutbeloppet. En allmän fråga blir då, måste man alltid använda abolutbeloppet vid olikheter vid upphöjningar med jämnt tal? och finns det i sådanafall flera tillfällen där det använts?
Använd den grafiska metoden jag beskrev ovan så kommer du lättare komma fram till rätt svar. Då kan du själv svara på dina frågor.
Att använda sig av är alltid en god vana.
Olikheten ifråga kan skrivas eller .
uppgift b) är extra svår. men du kan ju se hur långt du kommer.