En tråd klipps av
Undrar om jag har löst uppgiften rätt.
Jag får att x~0.313 cm. Om jag sätter in det här uttrycket för att få fram diametern d=(22,5+0.313)/pi ~7.257
radien för cirkeln blir 3.628cm .
Arean för cirkel blir (3.628)^2 * pi =41.35cm2
Arean för kvadraten blir (0.3*0.3)=0.09
tillsammans överstiger de värdet 30cm2
Har du inte facit till dina uppgifter?
Jag fick minimiytan till 225/(1+Π) cm2 vid klipplängden 30/(1+Π) cm.
Nej jag har inte facit. Jag undrar om min uträkning är rätt. Och om det är fel. Hur ska man istället tänka?
Jag har lite svårt att följa din uträkning, så här skulle jag göra:
30 cm klipps upp i två delar, med längderna a och 30-a
Cirkeln gör vi av a, den får omkretsen a och radien a/2pi
cirkelns area blir a2/4pi
kvadraten har omkretsen 30-a, och en sida är (30-a)/4
kvadratens area blir (30-a)2/16
bägge figurernas area blir alltså:
A = a2/4pi + (30-a)2/16
Jag hoppar över några steg i beräkningen, det får du träna på själv
För att hitta minsta möjliga area kan vi antingen derivera osv eller också vet vi att p/2 ger minimum för en andragradare med positiv kvadratterm. (p hänsyftar till p i pq formeln)
då fick jag minimum för a = 30pi/(4+pi), vilket ger minsta arean 31,4 ungefär
Så långt kmr jag sen fastnar jag
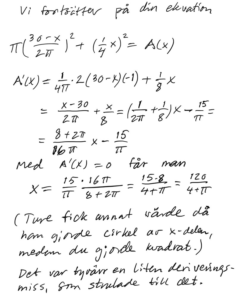
Kan du förklara hur du deriverade ? Gärna stegvist
När jag deriverade (30-x)2 så deriverade jag det som en sammansatt funktion. Tydligen gör man det först i Matte 4, så jag borde först ha utvecklat kvadratuttrycket och deriverat därefter.
Då får man 900 - 60x + x2 med derivatan -60 + 2x = 2(30 - x)(-1).
