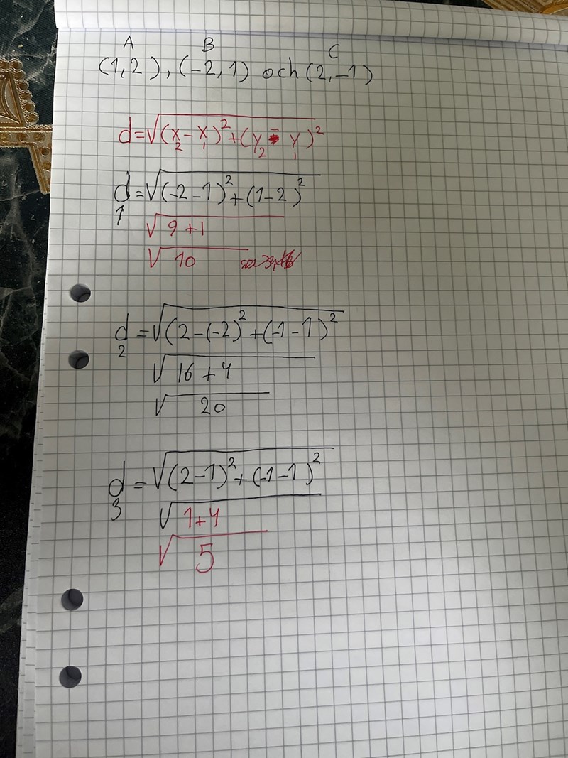
En triangel är inskriven i ett koordinatsystem
Hej!
kan någon förklara steg för steg? Behöver jag läser något innan jag ska lösa den fråga så ni får gärna säga till vad ska jag läsa på.
jag pluggar på distans och har ingen lärare som kan hjälpa till och förklara men tack och lov ni finns här
Börja med att rita upp en koordinatsystem och markera de givna punkterna.
Vad innebär det om en triangel är likbent?
Att har två ben som är lika lång
Det stämmer.
Du kan avgöra om triangeln är likbent eller inte om du känner till sidlängderna.
Vet du hur du kan beräkna dem?
Nej faktiskt
Du kan använda avståndsformeln för att beräkna sidlängderna.
Du hittar den i ditt formelblad.
Bra, det är längden av en av triangelns sidor
Beräkna nu på samma sätt längden av de två andra sidorna.
Om åtminstone två sidor är lila långa så är triangeln likbent.
Hur ska välja vilka ska lägga in avståndsformeln ?
Du ska beräkna avståndet mellan
- A och B (detta har du redan beräknat)
- B och C
- A och C

Använd dina beteckningar för hörnen.
Nu har du beräknat längden på sidan AB.
Det tycker jag ser ut att vara den kortaste sidan .
Det är bara att fortsätta.
Beräkna längden på var och en av de två övriga två sidorna.
------------------
Oj, jag hann inte se Yngves figur
OBS att den är förrädiskt "skev",
eftersom enheterna är olika stora på axlarna.
Då är det svårt med ögonmått!
Bra, men du har missat på ett ställe.
Här:

Yngve skrev:Bra, men du har missat på ett ställe.
Här:
Du menar har missat parantes?
Men de är inte likben☹️ jag har gjort fel någonstans
Så det blir 10,10 och 20
En triangel kan inte ha sidorna 10, 10 och 20 - de båda kortaste sidorna måste sammalagt vara längre än den längsta sidan!
Titta på bilden i inlägg #12 och räkna rutor. Sidan AB är "tre steg åt höger och ett steg uppåt", så sidans längd blir roten ut 10. Sidan AC är "ett steg åt höger och tre steg neråt", så den sidan har också längden roten ur 10. Sidan BC är "fyra steg åt höger och två steg neråt" så sidans längd är roten ur 20.
(Roten ur 10 är lite mer än 3, och roten ur 20 är mellan 4 och 5, så de båda kortare sidorna är längre sammanlagt än den långa sidan.)
Du menar
10 ruten ur=3,16
10 ruten ur=3,16
20 ruten ur=4,47
Wahid.A skrev:Du menar
10 ruten ur=3,16
10 ruten ur=3,16
20 ruten ur=4,47
Nej, inga av de tre är påståendena är sanna, det är avrundade värden och alltså är värdena inte exakta så det skall inte vara likhetstecken.
Ok, men då svaren är rätt?
Sidorna har längderna , och , så triangeln är likbent. Men det viktiga är inte svaret ,utan hur du motiverar din slutsats.
Smaragdalena skrev:En triangel kan inte ha sidorna 10, 10 och 20 - de båda kortaste sidorna måste sammalagt vara längre än den längsta sidan!
Titta på bilden i inlägg #12 och räkna rutor. Sidan AB är "tre steg åt höger och ett steg uppåt", så sidans längd blir roten ut 10. Sidan AC är "ett steg åt höger och tre steg neråt", så den sidan har också längden roten ur 10. Sidan BC är "fyra steg åt höger och två steg neråt" så sidans längd är roten ur 20.
(Roten ur 10 är lite mer än 3, och roten ur 20 är mellan 4 och 5, så de båda kortare sidorna är längre sammanlagt än den långa sidan.)
Det räcker om jag skriver denna motivation eller?
Jag hoppade över beräkningarna med avståndssatsen, de borde vara med.
Tack



