En uppgift från Nationella proven i 2c VT22


Jag löste nyss denna uppgift och känner mig osäker på om min lösning är tillräcklig för fullpott då den skiljer från deras exempel. Jag fick rätt på uppgiften men jag tog en omväg, drar de då av poäng? Tänkte inte på att jag kunde ta reda på värdet 12 direkt istället när jag löste den...
a - antal meter rep som Armand köper
x - kostnaden för rep per meter
(a-2)*(x+1)=ax=60 (kr)
= ax+a-2x-2
Eftersom ax=60
a-2x-2=0
a=2x+2
(2x+2)*x=ax
2x2+2x=60
x2+x=30
x2+x-30=0
p=1
q=-30
x1=-6
x2=5
x1 utesluts eftersom ett pris kan ej vara negativt
5 kr/m
a=2x+2
a=2*5+2
a=12 m
Lechatfaitronronne skrev:
Jag löste nyss denna uppgift och känner mig osäker på om min lösning är tillräcklig för fullpott då den skiljer från deras exempel. Jag fick rätt på uppgiften men jag tog en omväg, drar de då av poäng? Tänkte inte på att jag kunde ta reda på värdet 12 direkt istället när jag löste den...
Bilderna kom inte fram
Arktos skrev:Lechatfaitronronne skrev:
Jag löste nyss denna uppgift och känner mig osäker på om min lösning är tillräcklig för fullpott då den skiljer från deras exempel. Jag fick rätt på uppgiften men jag tog en omväg, drar de då av poäng? Tänkte inte på att jag kunde ta reda på värdet 12 direkt istället när jag löste den...
Bilderna kom inte fram
Åh ursäkta mig! Här är den :
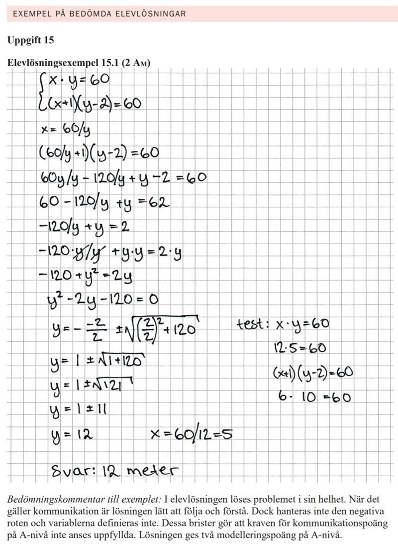
"I en butik köper Armand ett rep för 60 kr. En annan butik säljer samma typav rep men där är repet 1 kr dyrare per meter. Om Armand hade handlat iden andra butiken hade han fått ett 2 meter kortare rep för 60 kr.Bestäm hur långt rep Armand köpte. Prövning godtas inte."
- Godtagbar ansats, ställer upp en korrekt ekvation i en variabel, t.ex. + 1 AM
- med i övrigt godtagbar lösning med korrekt svar (12 m) + 1 AM
- Lösningen kommuniceras på A-nivå + 1 AK
Räkningarna är det inget större fel på.
Vad som avses med "kommuniceras på A-nivå" vet jag ej, men ekvationer utan motivering kanske kan ge något litet poängavdrag.
Lechatfaitronronne skrev:Jag löste nyss denna uppgift och känner mig osäker på om min lösning är tillräcklig för fullpott då den skiljer från deras exempel.
Har du tittat på de bedömda elevlösningarna på slutet av provet i provbanken?
Där finns följande två bedömda lösningar:


Yngve skrev:Lechatfaitronronne skrev:Jag löste nyss denna uppgift och känner mig osäker på om min lösning är tillräcklig för fullpott då den skiljer från deras exempel.
Har du tittat på de bedömda elevlösningarna på slutet av provet i provbanken? Ja, det har jag. Gjorde jag ett misstag som glömde att ställa upp ett ekvationssystem...? De har inte sagt om några omvägar, fast eftersom jag ändå fick rätt borde det väl inte göra något? Det var de exemplen jag syftade på.
Där finns följande två bedömda lösningar:
Jag tycker personligen inte dessa lösningar är något enastående bra. Motiveringar och 'bivillkor' saknas. Din lösning är minst lika bra.
Sedan när det gäller dessa "elevlösningar" är de ren bluff enl. mig. Ser man på stilen är båda "lösningarna" skrivna av samma person. Kanske är det någon som skriver om dem för "tydlighet".