Enbart visning från tidigare kurser ex från matte 3c






Lite återkoppling:
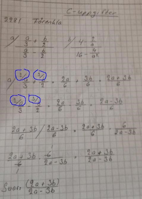
Uppgift 2281: det är inte fel, men jag har aldrig tidigare sett den typen av notering för att indikera förlängning av bråk (blå markering). Det är risk att den som läser missuppfattar och tror att täljaren görs om till en kvot:

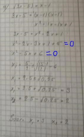
I den här uppgiften är sjuan utanför rottecknet (blåmarkerat), den ska vara innanför. Men du har räknat rätt, som att den är innanför:

I den här uppgiften bör du behålla exakta värden så långt som möjligt (gulmarkerat):

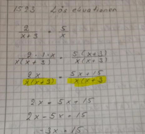
Uppgift 1523: Du bör i samband med att du förkortar med x och (x+3) notera att uttrycken är odefinierade i de fall där x = 0 eller x = -3. Kontrollera sedan när du får fram ditt värde på x att x är skilt från både 0 och -3. Det betyder att lösningen är tillåten:

Uppgift 1620 b) Du är inte klar med uppgiften (gulmarkerad). Att innebär att . Sedan måste du kontrollera om båda lösningarna är korrekta:

Uppgift 1620 c)
Här saknas ett resonemang kring varför är en falsk rot:

Uppgift 1620 d)
Två steg i ekvationslösningen saknar ett likhetstecken och en nolla (blåmarkerat):

Päivi skrev :
1523: Nu glömde du faktorn 5 i HL.
Päivi skrev :
Ja nu är det rätt.