Energi
Vad gör jag för fel? 

EDIT: På glömde jag att dela med .
Spänningen är inte samma före och efter ihopkopplingen. Däremot är laddningen och kapacitansen samma och det kan du använda för att räkna ut spänningen.
Vad är spänningen före? Är det inte 1 respektive 10 volt!?
Ja, det står i uppgiften.
Ja, exakt! Jag blir förvirrad för att jag får samma spänning efter ihopkopplingen som i början! Måste ha räknat fel någonstans.
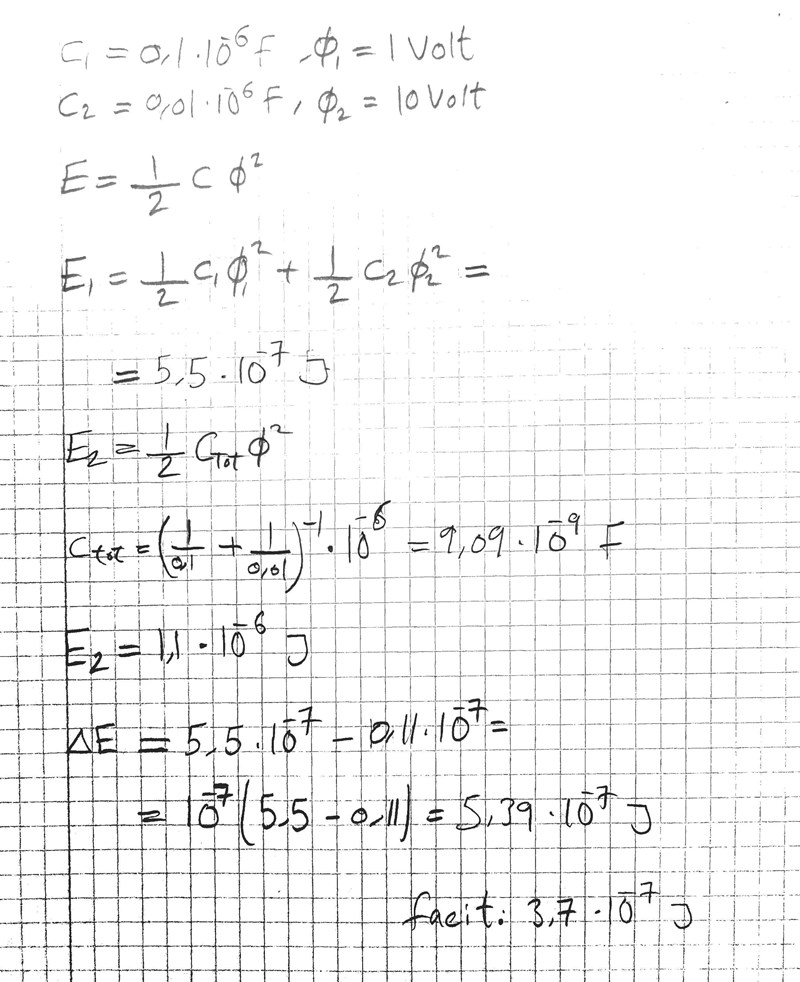
Om du visar din uträkning så kanske vi kan hjälpa dig att få till det
Nu är jag helt lost!

Du har ingen nytta av att räkna ut den parallellkopplade kapacitansen eftersom du inte tillför någon laddning utifrån. Det du gör här är att koppla ihop två redan uppladdade kondensatorer till en sluten krets. Då kommer laddning att flytta sig från den kondensatorn med högst spänning till den andra tills spänningen har jämnats ut. Räkna ut den totala laddningen på båda kondensatorerna. Efter att spänningen jämnats ut kommer båda att ha samma spänning och den totala laddningen är som förut. Då kan du räkna ut laddningen på varje kondensator och därefter energin på varje kondensator.