Energi i fjädrar
Hej, jag har svårt att förstå facit här. Jag fick också 13J som svar men jag hade annorlunda decimaler jämfört med facit, så jag vill veta om jag gjorde rätt.
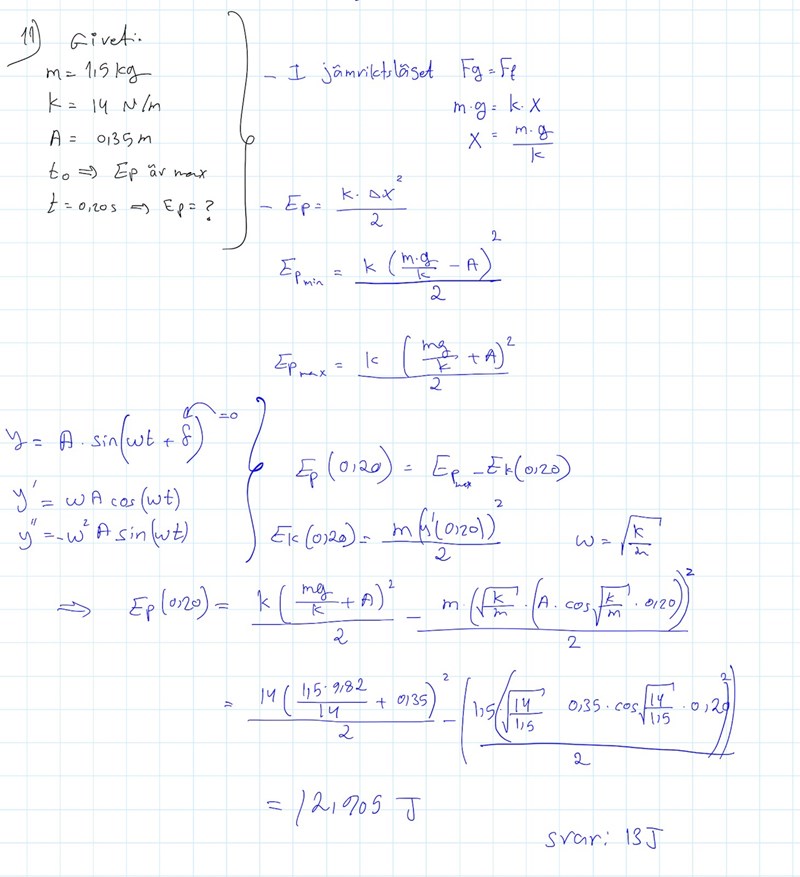
En vikt med massan 1,5 kg sitter fast i en lätt fjäder och svänger vertikalt med försumbar friktion. Fjäderkonstanten är 14 N/m. Svängningen har amplituden 0,35 m. Låt t0 vara en godtycklig tidpunkt då energin som är lagrad i fjädern är maximal. Bestäm energin som är lagrad i fjädern 0,20 s efter tiden t0.

Tack förhand!
Jag tror att facit har räknat enligt en annan strategi, men jag tycker det borde gå att göra som du gjort också, men du har gjort några misstag. Fortsätt med din strategi så får vi se om du kommer fram till ett svar som är samma som facits.
Du har räknat fram när den lagrade potentiella energin i fjädern är maximal, i nedersta läget. Där är också hastigheten noll. Sedan har du resonerat att systemets totala energi är konstant. Vid t=0.20 från nedersta läget har massan fått en viss kinetisk energi som du drar ifrån. Men när du beräknar hastigheten så antar du att t=0 i nedersta läget. Du beskriver hastigheten med en cosinus funktion, då får du maximal hastighet vid t=0 så det måste du justera med en fasvinkel.
Det andra misstaget är att det blir energiomfördelning till gravitationell potentiell energi också, jämfört med nedersta läget. Som du måste dra ifrån.
Kommer du vidare?
I så fall borde den totala energin blir additionen av maximala lägesenergi och minimala rörelseenergi, dvs då t=0. Där
Sedan man subtraherar av det rörelseenergin vid tiden t=0,20 s, för att få lägesenergin vid tiden 0,20 s, eller?!
Magi2 skrev:I så fall borde den totala energin blir additionen av maximala lägesenergi och minimala rörelseenergi, dvs då t=0. Där
Sedan man subtraherar av det rörelseenergin vid tiden t=0,20 s, för att få lägesenergin vid tiden 0,20 s, eller?!
Den kinetiska energi du har tecknat ovan är den maximala kinetiska energin som vikten kan ha, eller hur? Den minimala kinetiska energin är ju 0, eftersom hastigheten är noll i vändläget.
Alltså kan du beräkna vilken kinetisk energi vikten har 0.2 sekunder efter vändläget genom att beräkna hastigheten 0.2 sekunder efter att den är noll.
På ungefär samma sätt kan du beräkna skillnaden i gravitationell potentiell energi 0.2 sekunder efter vändläget.
För att hjälpa dig lite, du kan inte beskriva viktens rörelse med om du vill att t=0 skall vara i ändläget. Då måste du använda . Förstår du varför? (sätt in t=0 så förstår du). Då blir , vilket ger hastigheten 0 när t=0 i ändläget.
Hänger du med?
na.,
Jag får att 0.2 sekunder efter nedre vändpunkten så har vikten hastigheten 0.61m/s, och befinner sig 0.063m ovanför vändpunkten. Då kan fjäderns potentiella energi räknas ut som fjäderns energi i vändlöget minus den kinetiska och potentiella energi som vikten erhållit sedan vändläget.
Jag misstänker att facit istället räknat ut fjäderns elongation 0.2 sekunder efter nedre vändlöget, och sedan använt formeln för potentiell energi i fjäder. Den uträkningen blir lite enklare men visar inte lika tydligt hur den kontinuerliga energiomsättningen mellan fjäderenergi, viktens potentiella energi och viktens kinetiska energi ser ut.