energi och hastighet hos en proton
Hej, jag har stött på följande fråga:
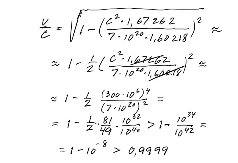
Denna fråga kommer från matematik och fysikprovet (2009) och därför får man inte ha någon miniräknare till hands. Jag hur man kan lösa denna uppgift om jag får ha räknaren, skulle då ställa upp denna ekvation:
och sedan lösa ut v för att sedan dividera med c, vilket ser ut som följande:

Kanske bara är jag, men det ser väldigt jobbigt ut att räkna för hand.
Min fråga är nu om det finns något lättare/smidigare sätt att göra uppgiften utan räknare? Går det att bara "se" svaret på nått sett?
Det enklaste sättet är att räkna ut vad man får för gammafaktor utifrån dessa båda uppgifter.
Protonernas kinetiska energin är 7 TeV. Eftersom GeV ser vi att Lorentzfaktor .
Därmed är
Om har vi Då är (och ).
Mycket enklare än med miniräknare.
Tack för båda lösningarna!
