Energi och rörelsemängd, Fysik 1
Hej!
Jag behöver hjälp med en fråga angående en bolls fart efter den lyft från marken, Frågan lyder såhär->

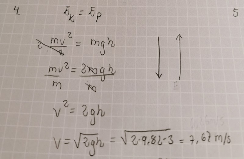
Jag har börjat på en lösning men är fundersam om den är rätt. Jag har då förmodat att när bollen släpps från 3m är det ett fritt fall där rörelseenergin är lika med lägesenergin och jag har då fått ut hastigheten precis innan bollen träffar marken. Men jag har kört fast och vet inte hur jag ska gå vidare och är även tveksam om det är rätt som jag tänker.

Tacksam för svar!
När den lämnar marken (efter studs) har den väl den mängd energi som behövs för att den ska nå upp till 2 m?
Ja det måste den nog ha, men det dem frågar efter är farten som den har när den lämnar marken och inte energin.
och energin består av en potentiell del och en kinetisk del som du kan ekvationerna för.
Efter studs är den potentiella delen 0 för vi utgår från den nivån när vi bestämmer att höjden i slutläget är 2 m
När den nått 2 m är hastigheten och därmed den kinetiska delen 0.
Ingen energi tillförs eller förstörs så ställ upp ekvationen för
energi efter studs = energi när bollen nått 2 m
Blev det klarare?
Men hur går det till, om energi efter studs är 0 eftersom lägesenergin är 0 och energin när bollen nått 2m är 0 eftersom rörelsenergin är 0.
Då blir ju ekvationen 0=0? och det funkar ju inte, jag tror inte jag helt förstår ditt resonemang.
Som jag skrev består ju den totala energin av en potentiell del (som beror av höjden) och en kinetisk del (som beror av hastigheten)
Efter studs är höjden 0 och därmed den potentiella delen men hastigheten är inte 0 där så bollen har kinetisk energi.
Vid 2 meter är hastigheten 0 och därmed den kinetiska energin 0 men den potentiella energin är inte 0 eftersom bollen nu befinner sig på 2 m.
Får du ihop det nu?