4 svar
173 visningar
Faxxi behöver inte mer hjälp
Faxxi 267
Postad: 27 apr 2019 10:25

Energiberäkning, β+-sönderfall

Hej!

Ska beräkna energin som frigörs vid följande reaktion:

Min lösning:

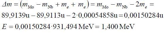
m=(mMo-42me)-(mNb-41me)-me=mMo-mNb-2me=(95,94-92,91)·1,66054·10-27-2·9,1094·10-31kg=5,0...·10-27kgE=mc2=(5,0...·10-27·2997924582)/(1,6022·10-19) eV2,8·109 eVMen svaret är 1,4 MeV. Facits lösning:

De har räknat på ett annat sätt än jag och t.ex. inte omvandlat u till kg vid uträkning av masskillnaden. Men jag anser att mitt sätt också är korrekt att räkna på (jag har räknat så förut och fått rätt svar på andra uppgifter). Vad har blivit fel i min lösning?

Smaragdalena 78892 – Avstängd
Postad: 27 apr 2019 12:38

Har du räknat om facits värde på massförlusten till enheten kg och kollat om det blir samma som ditt värde?

Faxxi 267
Postad: 27 apr 2019 13:06 Redigerad: 27 apr 2019 13:17

Hm ...

0,00150284u=0,00150284·1,66054·10-30kg2,5·10-30kg

Nej, det blev inte samma värde ... Men vi har ju samma uppställning mMomNb2me så något måste vara fel med mina insatta siffror, men jag ser inte vad det är.

Smaragdalena 78892 – Avstängd
Postad: 27 apr 2019 14:32

Har du möljigen hämtat dina atommassor från ett periodiskt system, där man har den naturliga isotopsammansättningen och inte en enda isotop? Eftersom både en proton och en neutron har en massa som ligger nära 1 u verkar det konstigt att 90 nukleoner skulle ha massan nästan 96 u.

Faxxi 267
Postad: 27 apr 2019 15:38

Ahaaa! Jag tog siffran från det periodiska systemet i min formelsamling, men du har rätt, det verkar inte vara det man ska använda. Det finns en tabell med nuklidmassor som man ska använda istället. Nu blev det rätt. Stort tack!

Svara
Close