2
svar
357
visningar
Enfas transformator beräkning
Hej
Jag studerar behörighet AL och har kört fast totalt
Önskar hjälp med denna fråga.
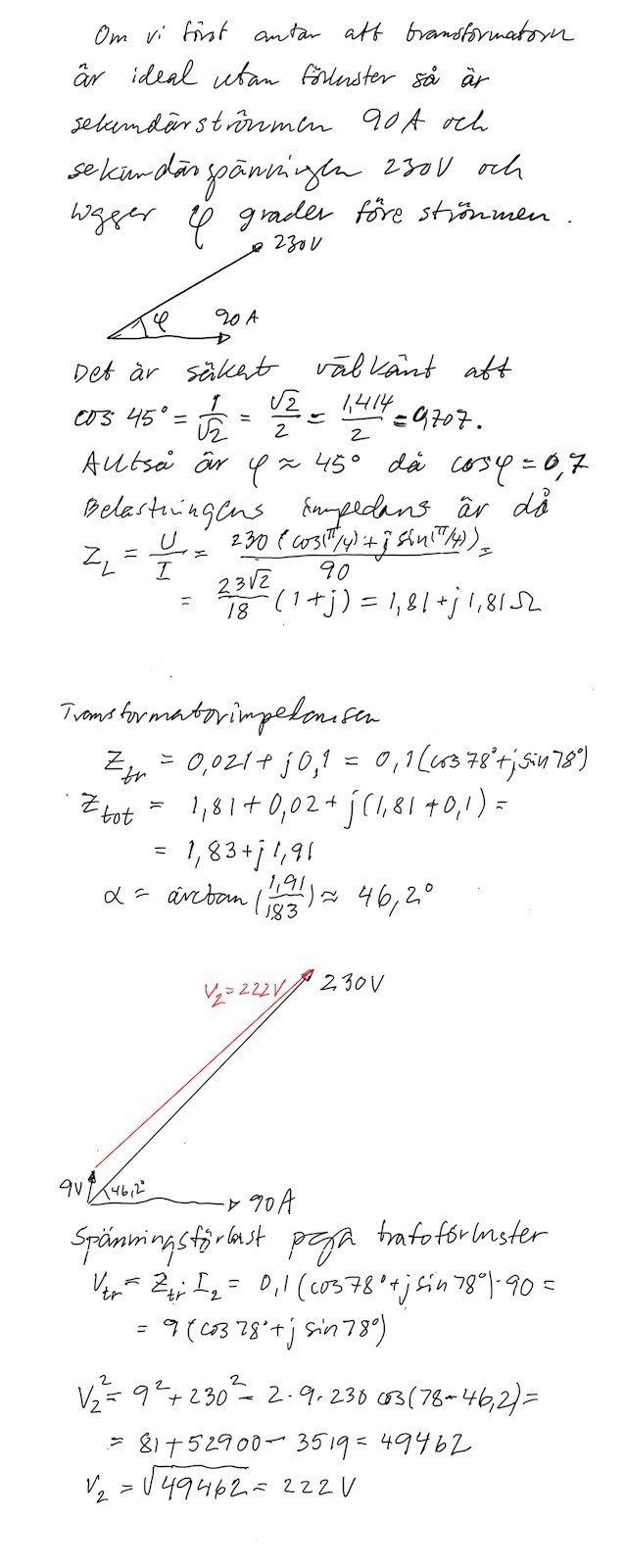
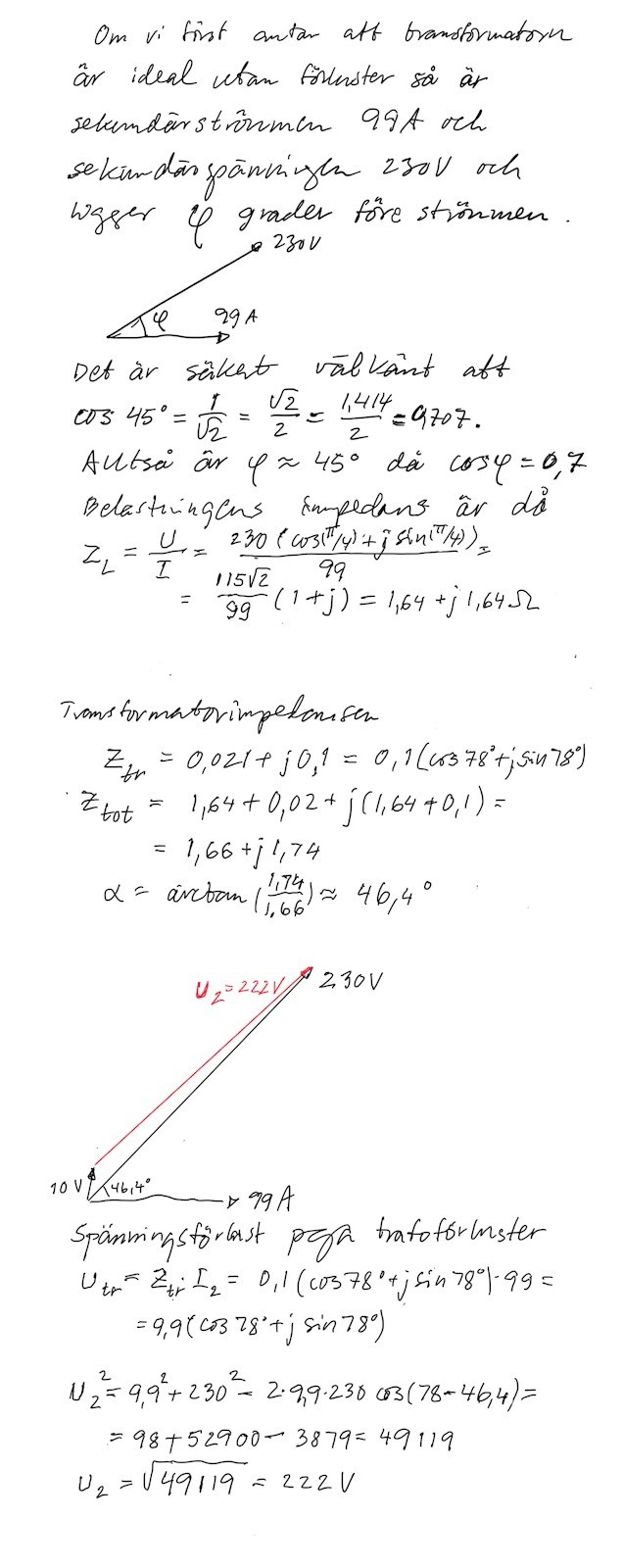
En enfas transformator är märkt: 25 kVA, 400/230 V. Lindningarnas kortslutningsresistans resp. kortslutningsreaktans har följande värden:
R2k = 0,021 Ω
X2k= 0,10 Ω
Transformatorn belastas på nedspänningssidan med strömmen 99 A vid en induktiv effektfaktor cosφ = 0,7. Primärspänning U1= 400 V. Bestäm sekundärspänningen. (3p) B
Välkommen till Pluggakuten!

Jag ser att jag räknat med felaktigt värde på sekundärströmmen. Justerat till 99 A.
