Enhet på x vid derivata
Varför blir enheten för x radianer och inte grader jag förstår inte riktigt varför derivatan är pi/180 cosx ifall x anges i grader
Derivatan kan du räkna ut som på tangenten (=en rät linje som precis nuddar kurvan i en punkt, typ). Nedan har jag ritat ut sinus funktionen först mellan 0 och radianer och sedan mellan och . Dessutom har jag ritat in tangenten vid (eller 180). Sedan har jag sett till att koordinatsystemet är ortonormerat. Det betyder att skalan på axlarna är lika. Då ser du tydligt att det är väldigt mycket mindre lutning i fallet med grader. Närmare bestämt gånger mindre!


Så anledningen till att när man deriverar sin x där x anges i grader är eftersom att från början är det definierat för när x är i radianer och därför multiplicerar man med pi/180 för att få fram det i grader?
Jag skulle uttrycka det så här:
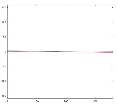
Var du än väljer att rita din tangent i figur 2 så kommer lutningen att vara väldigt nära 0. Den kommer att ligga mellan Därför ser den röda linjen nästan horisontell ut. Lägg märke till att den blåa sinuskurvan fortfarande är "en våg" mellan 0 och 1 på y-axeln precis som i figur 1.
I figur 1 har den röda linjen lutningen -1 och det är ju inte alls lika nära 0. Att det ska vara just framför cos är lite krångligt att visa. Då behöver man studera gränsvärden och det kanske inte ingår i kursen?
Nej det ingår inte i kursen
Fast varför såtr x:et kvarn är man deriverar cos x där x är i radier varför kan det inte fortfarande stå x ifall x anges från början i grader?