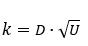
enheten för roten ur U
Har en enhet eller är det bara ett siffervärde, vet att man kan skriva om det till basenheter och sedan ta roten ur men för att dessa här formeln ska gälla måste den väl sakna enhet
där D har enheten m och

där d har enheten m
Du får gärna definiera vad det är för variabler du använder och i vilket sammanhang?
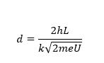
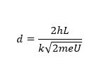
i andra formeln är d gitterkonstanten
h är plancks konstant
L är en sträcka
eU är energi
m massan
k är jag osäker på men jag har den första formeln där D är diffraktionringens diameter
Bayan Ali skrev:Har en enhet eller är det bara ett siffervärde, vet att man kan skriva om det till basenheter och sedan ta roten ur men för att dessa här formeln ska gälla måste den väl sakna enhet
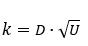
där D har enheten m och
där d har enheten m
Det är nu din sjunde fråga om samma uppgift.
https://www.pluggakuten.se/trad/elektrondiffraktion/
https://www.pluggakuten.se/trad/harled-ekvationen-2/
https://www.pluggakuten.se/trad/visa-att-enheten-ar-m/
https://www.pluggakuten.se/trad/harled-ekvationen-3/
https://www.pluggakuten.se/trad/vad-star-me-for/
https://www.pluggakuten.se/trad/bestam-gitterkonstanterna/
Och aldrig ger du tillräcklig information för att svara.
Jag har skrivit all info jag har.
Jag försöker lösa frågan själv på olika sätt därför får jag olika problem.
Vilken info tycker du saknas i den här tråden?
Bayan Ali skrev:Jag har skrivit all info jag har.
Jag försöker lösa frågan själv på olika sätt därför får jag olika problem.
Vilken info tycker du saknas i den här tråden?
Det går inte att förstå dina frågor. Är D samma som d? Och vad är det i så fall för storhet? I vilket sammanhang? Och med enheten m menar du meter? Allt är väldigt oklart.
Bayan Ali skrev:i andra formeln är d gitterkonstanten
k är jag osäker på men jag har den första formeln där D är diffraktionringens diameter
jag har skrivit att d och D inte är samma och vad de har för storheter
jag har också skrivit att det handlar om elektrondiffraktion i trådarna som du har länkat
att m står för meter har jag också skrivit tidigare
Din formel med 2meU under rottecknet (där U fattades först pga ett tryckfel) tycker jag att vi har rett ut.
Står det alltså någonstans i dina papper? Det fattas nog någonting där också.
Jag kan tycka så här. Att bara klistra in en massa non-standard formler utan att berätta vad saker och ting är gör saker och ting lite jobbigt. Jag har förståelse att du inte kan allting, syftet med Pluggakuten är ju att du ska kunna fråga och få den hjälp du behöver. Det är grymt att du vågar ställa frågor. Forsätt så!
Det stora problemet är att du inte verkar ha tillräckligt med information för att reda ut vad det är vi jobbar med. I många fall kan vi gissa oss fram vad det är för formler. Om detta hade varit kaströrelse, så hade det nog inte spelat så stor roll om du ändrade dina dummy variables till något annat eftersom de är så enkla att känna igen. Vidare hade vi förmodligen haft något att relatera formlerna till.
Jag tror att den bästa metoden är att du först och främst pratar med din lärare och tar reda på vad det är för formler, vad varje variabel mostsvarar osv. Vidare borde du ta reda på var du kan hinna denna typen av information. Det måste finnas i dina anteckningar från en föreläsning eller i er kurslitteratur. Möjligen om ni har tillgång till lärarens föreläsningsslides. Speciellt eftersom vi i många trådar nu har uttryckt att vi inte vet vad det är för formler. Jag har nog aldrig sett beteckna något som vekar vara energi.
Om vi relaterar detta till en enklare formel, säg , om jag nu ändrar på den lite:
så finns det inte ens chans att någon här förväntar sig att detta är Newtons andra lag. skulle likaväl kunna vara ett magnetfält, en spänning, gravitaionskraft och en acceleration. Det skulle också kunna vara konstanter, precis som kan beteckna elementarladdningen, eller som exponentialfunktionen osv.
där D har enheten m och