2
svar
103
visningar
eddberlu behöver inte mer hjälp
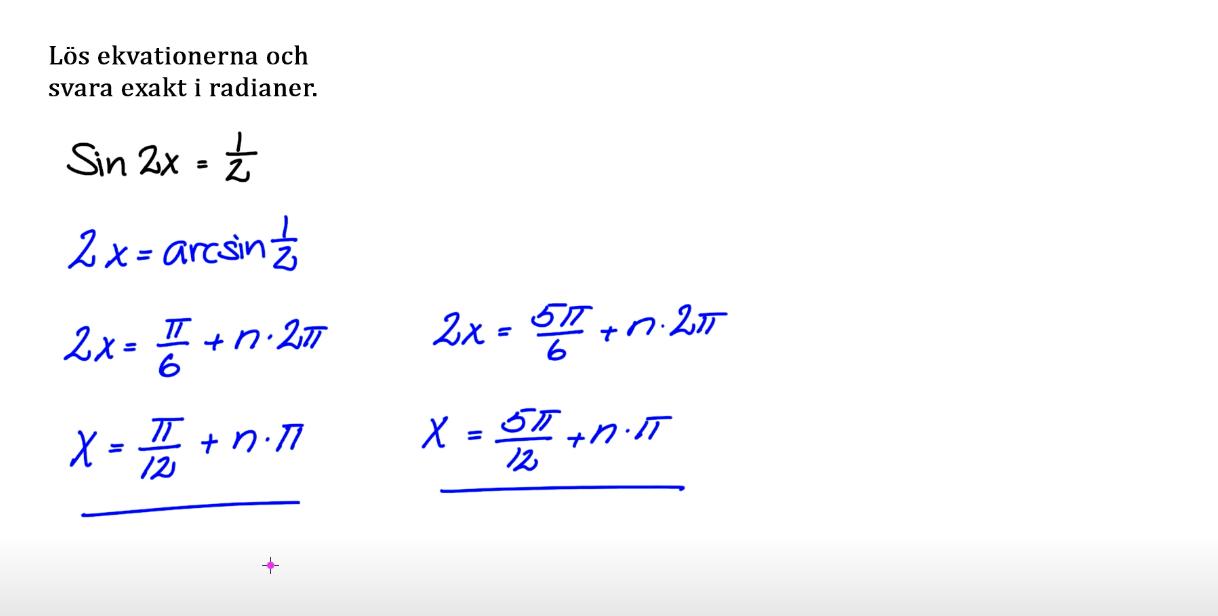
Enhetscirkeln uppg. 1415 c)

Jag fick svaret i högra ledet till . Vart har jag tänkt fel? Jag ser det som att iom att det är sin så ska jag ta 180-v dvs 180grader är ju
och v är ?
eddberlu skrev:[...]
.Vart har jag tänkt fel?[...]
Ekvationen är
Byt ut mot ett litet slag.
Då är ekvationen
Denna ekvation har de två lösningsmängderna
och
, dvs
Byt nu tillbaka från till
Lösningsmängderna är då
, dvs
och
, dvs
======
Felet du gjorde var alltså att du först löste ut x och först efter det tog fram den andra lösningsmängden pi-x o.s.v.
Du ska istället ta fram båda lösningsmängderna direkt när du tar arcsin.
Tack <3