Enhetsnormalen
Hej, i detta exempel från boken, undrar jag på två ting
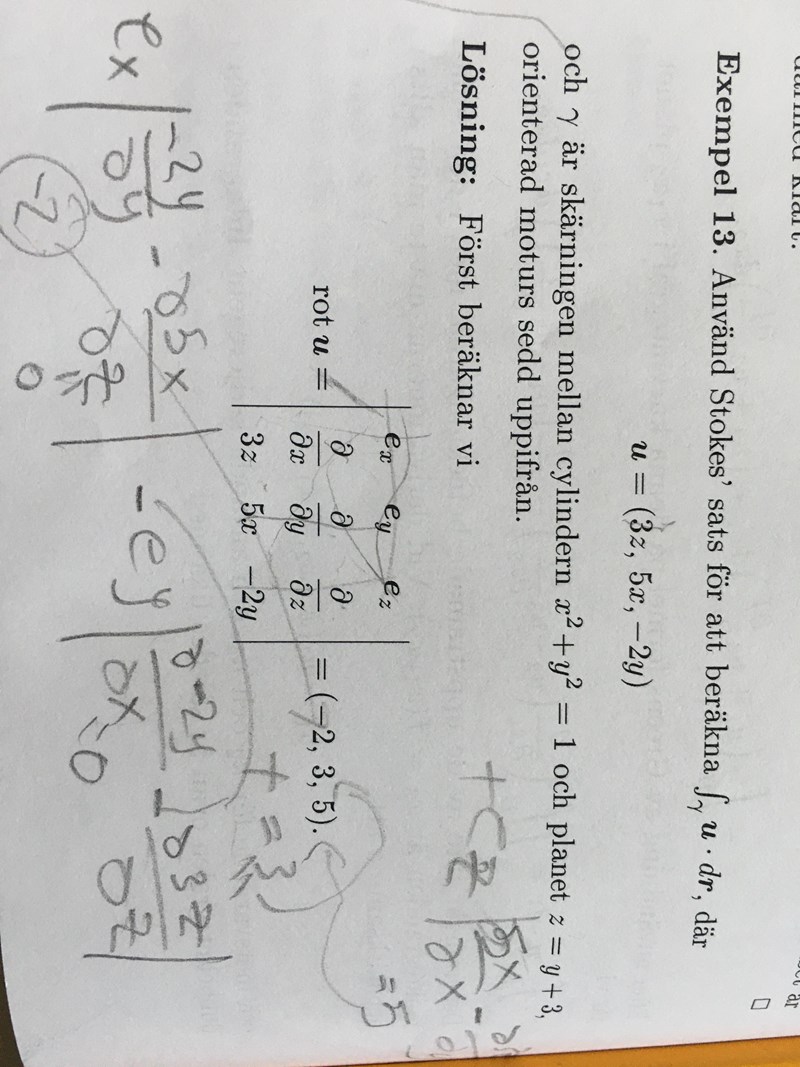
1 hur beräknar man området i bilden, altså hur ska jag tenke för att få området i exemplet.
2 hur beraknar vi enhetsnormalen, och varför är den multiplicerat med 1/sqrt(2)
mvh
suad
Ingen bild!
Glömde bifoga den
1. Området blir en ellips.
Arean av en ellips ges av , där a och b är ellipsens halvaxlar.
2. Planet kan skrivas på formen (planets ekvation) .
En normal till planet är därför
En enhetsnormal till planet blir då
Tack så mycket, så normalen måste vara normerad för att vi ska kunna använde den i stokes satsen.
Ja, om du använder formen
Men ibland används det vektoriella ytelementet istället. Då ser det ut ungefär så här:
Använd det eller de specialfall ni får lära er i just er kurs.
I kursen använder vi också det vektoriella ytelementet, men jag förstår inte helt hur tid ska vi använde den, och hur vi kan hitta den, kan du till exempel visa mig hur vi hittar den i detta exemplet
mvh
suad
Och får jag fråga om denna betecningan innanför parentesen. (∇×u), är detta här kryss produkt av potentialfunktion till u och i, eller är detta rot u
Jag tror att (∇×u) svarar mor rot u,
suad skrev:Och får jag fråga om denna betecningan innanför parentesen. (∇×u), är detta här kryss produkt av potentialfunktion till u och i, eller är detta rot u
Det är samma sak, .
I den här uppgiften är en parametrisering av planet
Ytelementent blir
Nu behöver vi inte bekymra oss om någon ellips, ytelementet och parametriseringen sköter allt åt oss.
Hej. Igen . Nu har jag provet med vektoriella ytelementet och får detta, men jag tror att detta är fel. 

Du måste fortfarande beräkna rotationen av fältet .
Eftersom det är en konstant är det lättare att du gör det innan parametrisering,
Nu kan vi sätta in det i Stokes sats:
Byt till polära koordinater för att integrera över cirkeln Y i xy-planet (som du parametriserat över).
Hej, och tack så mycket, jag undrar på om vi alltid kan använde det vektoriella ytelementet alltid i samband med stokes och gaussats eller inte
Ja, du kan alltid använda det vektoriella ytelementet.
Dessutom är alla kurvor och ytor du stöter på är snälla (orienterbara) och går att parametrisera.
Men att parametrisera är ibland arbetskrävande.
Det kan vara krångligt att hitta en bra parameterframställning och du måste beräkna kryssprodukten samt substituera
Det är därför bra om du lär dig hantera integralerna i båda formerna, ibland är det ena sättet mer bekvämt än det andra.
tack så mycket, men betyder detta att vi inte behöver ha en parametrisering när vi använder metoden med enhetsnormalen, mens när vi använder metoden med det vektoriella ytelementet behöver vi ha en parametrisering
suad skrev:tack så mycket, men betyder detta att vi inte behöver ha en parametrisering när vi använder metoden med enhetsnormalen, mens när vi använder metoden med det vektoriella ytelementet behöver vi ha en parametrisering
Ja, det är korrekt.
tack så mycket det var till stor hjälp

