Enhetsomvandling
Hej! Precis satt min fot på universitetet och ställts inför en uppgift gällande enhetsomvandling.
Första dagen och då vill man inte ställa för många direkta frågor ut i klassrummet.
Men här är självaste frågan.
Uppgiften går först ut på att beräkna den totala energiåtgången för att duscha under 1 års tid.
Det är valfritt gällande temperatur, antal sekunder på ett år osv. Så alla får olika svar helt enkelt.
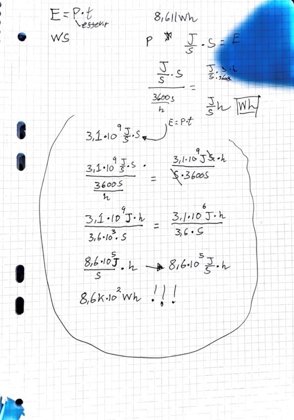
Sista uppgiften är mitt problem, Jag har gjort mina beräkningar i joul. Nu vill jag få fram antal kg det skulle gå åt i bränsle på ett år. Jag vet att bränslet innehåller 4.7kwh/kg och min totala energiförbrukning är säg 3.1 Gj
Så helt enkelt 3.1Gj/4.7kWh/kg. Mitt problem är enheterna är olika.
J/kwh/kg.. Då sa läraren att jag kan multiplicera med 3600s/h för att få samma enhet uppe som nere. Då ska det i teoretisk se ut så här. och då ska det bli ? dvs bara kg ska bli kvar. Men det blir inte de när man försöker räkna ut ekvationen....
Det är mycket enklare (enligt mig) att göra om till samma enheter innan man utför beräkningen. Du kan exempelvis börja med att göra om 3,1 GJ till kWh. Till att börja med är 3,1 GJ samma som 3,1*109 J. En joule är samma sak som en wattsekund (enligt sambandet E=P*t). Det betyder att vi har 3,1*109 Ws. Eftersom det går 3600 sekunder på en timme motsvarar det 8,611…*105 Wh, vilket är samma sak som 8,611…*102 kWh. Nu kan du går vidare och räkna ut hur många kilogram bränsle det motsvarar.
Grymt förklarat. Men då delar man alltså med 3600, då 3600 motsvarar en timme sekunder.
Får nog kolla lite mer på exakta enhetsomvandlingen, har lite svårt att fatta xD
Får läsa om det du skrev några gånger så förstår jag säkert mer :D Men tack så mycket iaf!
Precis, du delar med 3600 för att få det till wattimmar. Om du är osäker på om du ska dividera eller multiplicera kan du tänka att en wattsekund är mycket mindre än en wattimme, så när du omvandlar wattsekunder till wattimmar måste du få ett värde som är mindre.

.jpg?width=800&upscale=false)