4
svar
93
visningar
offan123 behöver inte mer hjälp
Enhetsomvandling
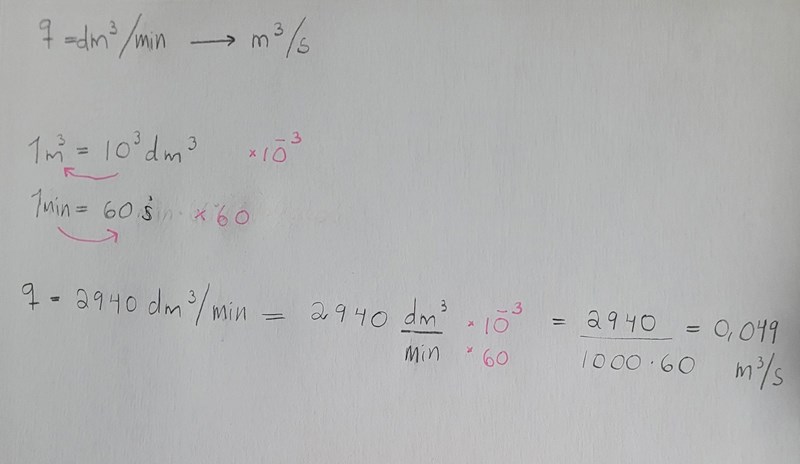
Jag har inget facit på denna omvandlingen, men tänker jag rätt här? Jag vill gå från dm^3/h till m^3/s.
Du tänker helt rätt, men det stämmer inte att det går 60 sekunder på en timme 😉
Det blir ju 3600 sekunder=1h.
Det skulle inte stått dm^3/h utan dm^3/min och då borde detta stämma.

Då stämmer det ja.
Ja, förutom att du bör skriva m3/s istället för dm3/min på ett ställe. Se bild.
