Enhetsvektor med lika vinklar
Uppgift:
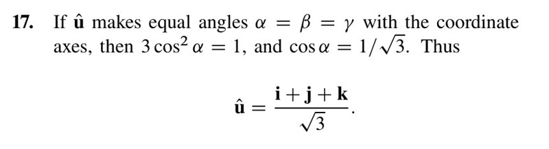
Find a unit vector that makes equal angles with the three coordinate axes.
Visa spoiler

Jag förstår inte hur man ska göra och särskilt inte vilken allmän ekvation man ska använda.
Edit: Jag tror det är skalärprodukt man ska använda
, för enhets vektorer är ju deras längd 1, kanske man ska utnyttja det?
Testa att använda
där är vinkeln mellan och
AlexMu skrev:Testa att använda
där är vinkeln mellan och
Men hur gör man det för 3 st av samma vinkel?
Vi har ju 3 st vinklar som är samma sak men skalärprodukt gäller för endast 2 st vektorer, nu har vi 3
AlexMu skrev:Testa att använda
där är vinkeln mellan och
Den ekvationen för skalärprodukt skrev jag i mitt inlägg ;)
Axiom skrev:AlexMu skrev:Testa att använda
där är vinkeln mellan ochMen hur gör man det för 3 st av samma vinkel?
Såhär tänker jag: Om vi kallar vektorn vi vill hitta för så vet vi ju att vinkeln mellan och alla tre koordinataxlar ska vara lika. Vi kan förkorta koordinataxlarna till enhetsvektorerna (1,0,0), (0,1,0) och (0,0,1). Då måste vinkeln mellan och alla tre enhetsvektorer vara samma. Du kan testa att jämföra skalärprodukten mellan och respektive enhetsvektor
AlexMu skrev:Axiom skrev:AlexMu skrev:Testa att använda
där är vinkeln mellan ochMen hur gör man det för 3 st av samma vinkel?
Såhär tänker jag: Om vi kallar vektorn vi vill hitta för så vet vi ju att vinkeln mellan och alla tre koordinataxlar ska vara lika. Vi kan förkorta koordinataxlarna till enhetsvektorerna (1,0,0), (0,1,0) och (0,0,1). Då måste vinkeln mellan och alla tre enhetsvektorer vara samma. Du kan testa att jämföra skalärprodukten mellan och respektive enhetsvektor
Man kan säkert göra så men från facit känns det som att man ska köra cosa+cosb+cosc på något sätt, men hur? Och särskilt hur får man
Axiom skrev:AlexMu skrev:Axiom skrev:AlexMu skrev:Testa att använda
där är vinkeln mellan ochMen hur gör man det för 3 st av samma vinkel?
Såhär tänker jag: Om vi kallar vektorn vi vill hitta för så vet vi ju att vinkeln mellan och alla tre koordinataxlar ska vara lika. Vi kan förkorta koordinataxlarna till enhetsvektorerna (1,0,0), (0,1,0) och (0,0,1). Då måste vinkeln mellan och alla tre enhetsvektorer vara samma. Du kan testa att jämföra skalärprodukten mellan och respektive enhetsvektor
Man kan säkert göra så men från facit känns det som att man ska köra cosa+cosb+cosc på något sätt, men hur?
Facit förvirrade mig också lite grann, ser inte riktigt vart cosinus i kvadrat kom ifrån. De verkade hoppa över en massa steg.
Såhär tänker jag att man löser problemet
Visa spoiler
Låt enhetsvektorn vi ska hitta.
Dessutom , ,
Vinkeln mellan och enhetsvektorerna är densamma.
Genom liknande process för skalärprodukten mellan och och för får man: . Därför är . Det enda som återstår är att denna vektor är en enhetsvektor. Detta innebär att Vilket ger lösningen (den negativa roten är också en helt giltig lösning till problemet). Edit: notera att eftersom blir det här exakt samma ekvation som den tidigare lösningen
AlexMu skrev:Axiom skrev:AlexMu skrev:Axiom skrev:AlexMu skrev:Testa att använda
där är vinkeln mellan ochMen hur gör man det för 3 st av samma vinkel?
Såhär tänker jag: Om vi kallar vektorn vi vill hitta för så vet vi ju att vinkeln mellan och alla tre koordinataxlar ska vara lika. Vi kan förkorta koordinataxlarna till enhetsvektorerna (1,0,0), (0,1,0) och (0,0,1). Då måste vinkeln mellan och alla tre enhetsvektorer vara samma. Du kan testa att jämföra skalärprodukten mellan och respektive enhetsvektor
Man kan säkert göra så men från facit känns det som att man ska köra cosa+cosb+cosc på något sätt, men hur?
Facit förvirrade mig också lite grann, ser inte riktigt vart cosinus i kvadrat kom ifrån. De verkade hoppa över en massa steg.
Såhär tänker jag att man löser problemetVisa spoiler
Låt enhetsvektorn vi ska hitta.
Dessutom , ,
Vinkeln mellan och enhetsvektorerna är densamma.
Genom liknande process för skalärprodukten mellan och och för får man: . Därför är . Det enda som återstår är att denna vektor är en enhetsvektor. Detta innebär att Vilket ger lösningen (den negativa roten är också en helt giltig lösning till problemet). Edit: notera att eftersom blir det här exakt samma ekvation som den tidigare lösningen
Jag förstår fortfarande inte hur facit hade tänkt att man skulle göra men det här funkar ju också så tack så jätte mycket för det!
Axiom skrev:AlexMu skrev:Axiom skrev:AlexMu skrev:Axiom skrev:AlexMu skrev:Testa att använda
där är vinkeln mellan ochMen hur gör man det för 3 st av samma vinkel?
Såhär tänker jag: Om vi kallar vektorn vi vill hitta för så vet vi ju att vinkeln mellan och alla tre koordinataxlar ska vara lika. Vi kan förkorta koordinataxlarna till enhetsvektorerna (1,0,0), (0,1,0) och (0,0,1). Då måste vinkeln mellan och alla tre enhetsvektorer vara samma. Du kan testa att jämföra skalärprodukten mellan och respektive enhetsvektor
Man kan säkert göra så men från facit känns det som att man ska köra cosa+cosb+cosc på något sätt, men hur?
Facit förvirrade mig också lite grann, ser inte riktigt vart cosinus i kvadrat kom ifrån. De verkade hoppa över en massa steg.
Såhär tänker jag att man löser problemetVisa spoiler
Låt enhetsvektorn vi ska hitta.
Dessutom , ,
Vinkeln mellan och enhetsvektorerna är densamma.
Genom liknande process för skalärprodukten mellan och och för får man: . Därför är . Det enda som återstår är att denna vektor är en enhetsvektor. Detta innebär att Vilket ger lösningen (den negativa roten är också en helt giltig lösning till problemet). Edit: notera att eftersom blir det här exakt samma ekvation som den tidigare lösningenJag förstår fortfarande inte hur facit hade tänkt att man skulle göra men det här funkar ju också så tack så jätte mycket för det!
Vad bra!
Jag ingen aning vad de gjorde heller. Det ledde ju tillslut till samma ekvation, så antingen gjorde de på samma sätt och bestämde sig för att inte skriva ut stegen eller så hade de någon annan metod, men jag kan inte komma på vad det skulle vara för något