2
svar
67
visningar
Etthejfrånpolhem behöver inte mer hjälp
Enkel fråga om egenvärden
Tjena!
Frågan lyder:

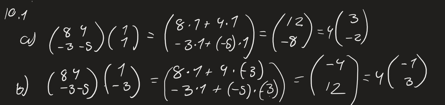
Mina lösningar presenteras enligt nedan:

där jag enligt uträkningarna får egenvärden 4 respektive 4, varpå facit påstår att a) inte har något egenvärde och b ska ha -4 som egenvärde.
Någon som ser vad jag har missat?
Tacksam för hjälpen!
Vektorn längst till höger ska vara den vektor som du multiplicerade matrisen med. I a är det en helt annan vektor, och i b är den -1 gånger utgångsvektorn.
Laguna skrev:Vektorn längst till höger ska vara den vektor som du multiplicerade matrisen med. I a är det en helt annan vektor, och i b är den -1 gånger utgångsvektorn.
Tack så mycket!