1
svar
97
visningar
solaris behöver inte mer hjälp
Enkel integral blir fel
Hej jag tror jag måste ha gjort dågot missförstånd själva integrationen. Det här är frågan:
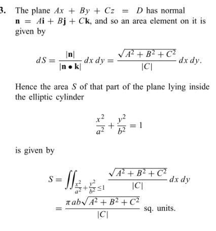
Här är facit
Jag får samma S men sen då jag ska integrera gör jag ett variabelbyte till polära koordinater. Men resultatet blir inte samma. Så jag undrar hur dom har löst integralen.
Här är min lösning:

De bryter bara ut faktorn:
, vilket ger integralen:
Arean för en ellips får anses vara känd:
Den går såklart att härleda, men det är rätt krångligt: