2 svar
95 visningar
Jvpm behöver inte mer hjälp
Jvpm 90
Postad: 23 sep 2021 21:38 Redigerad: 23 sep 2021 22:03

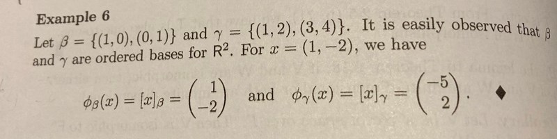
Enkelt basbyte

Nu har jag förvisso suttit och pluggat hela dagen och gör nog bäst i att fortsätta imorgon, men borde inte (1,-2) uttryckt i gamma bli (-5,-6)?

1*(1,2)+(-2)*(3,4)=(-5,-6)

PATENTERAMERA Online 7545
Postad: 24 sep 2021 02:09

Nu är du trött.

-5(1, 2) + 2(3, 4) = (-5+6, -10+8) = (1, -2).

Jvpm 90
Postad: 24 sep 2021 22:41

Såklart! Jag har tänkt baklänges igen. Suck… Jag skyller på att jag är gammal seglare och van att båten girar styrbord när man drar rorkulten åt babord! 😂😎 Tack för tålamodet att sätta mig på rätt kurs igen! Skepp ohoj!

Svara
Close