1
svar
107
visningar
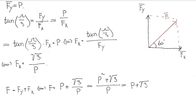
"Enkelt" trigonometri problem som jag inte kan lösa


Jag förstår inte vad jag gör fel, det känns väldigt enkelt, ett nybörjarproblem men något blir så fel.
P=Fx•tan(60°)