Enkla ljudkällor
Har denna uppgift:

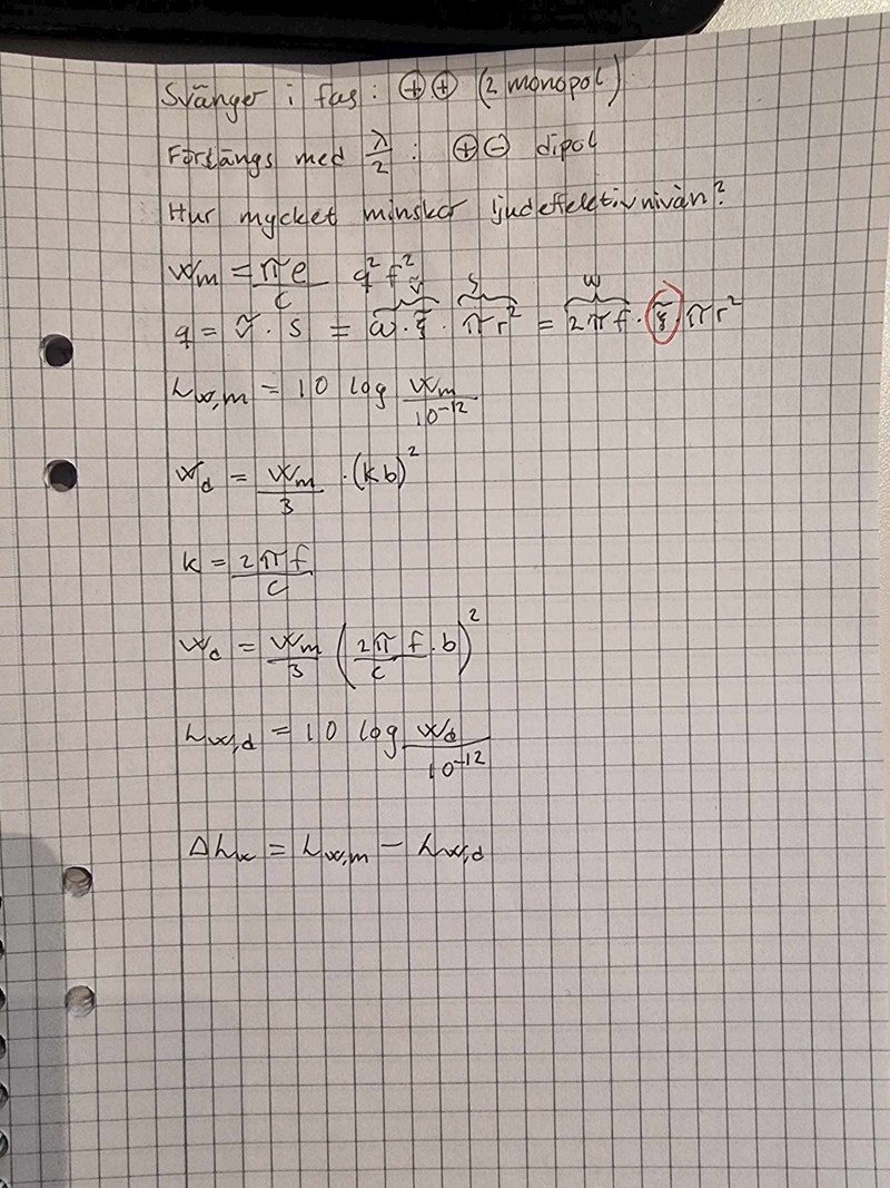
Har använda dessa värden f=100 Hz, b=0,1 m, r=0,03 m, =1,21 kg/m2 c=343 m/s.
Tänker att jag ska räkna som nedan, men hur får jag fram förskjutningen (effektivvärdet)? eller räknar jag på fel sätt. Sedan har jag använt S=r2 blir det rätt area för avgasrör?

Glömde skriva in detta oven, men Wm behöver gångars med 4 innan man räknar ljudeffektivnihån eftersom vi har 2 stycken monopoler

TB2020 skrev:Tänker att jag ska räkna som nedan, men hur får jag fram förskjutningen (effektivvärdet)?
Det var givet att förlängningen motsvarar en halv våglängd.
Därmed blir det destruktiv interferens. Så det blir att försöka räkna ut dämpningen i den extra rörslingan. Det verkar du veta en formel för. Sedan addera (alltså: subtrahera) amplituderna innan man kvadraterar för att räkna ut ljudintensitet.
Såhär skulle man lösa den
