1
svar
139
visningar
Envariabelanalys: förenkla lösning på integral med ln och arctan

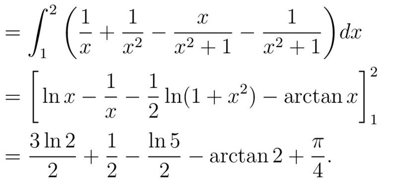
Hur blir svaret så? Jag får det till :
ln(2) + 1/2 - 1/2(ln(5/2)) -arctan(2) + pi/4
...Hur blir det 3/2*ln(2) och ln5/2 ?