Hej!
Vart får du funktionsuttrycken ifrån?
Använd bara kedjeregeln istället (om det är rätt uppgift du lagt in).
Hej!
Jag har hittat på funktionsuttrycken för att lösa problem. Det går inte att bestäma h´(-1) utan ekvation eller?
Du skall inte hitta på några funktionsuttryck. Allt du behöver står i uppgiften Följ Moffens tips.
Asaad skrev:Hej!
Jag har hittat på funktionsuttrycken för att lösa problem. Det går inte att bestäma h´(-1) utan ekvation eller?
Jodå.
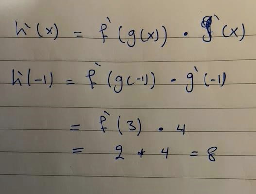
Med kedjeregln får du (där funktionerna är definierade och deriverbara) derivatan av en sammansatt funktion som .
Det vill säga att derivatan av den sammansatta funktionen i punkten ges av derivatan av i punkten multiplicerad med derivatan av i punkten .
Ja, det stämmer. Nu har jag förstått.
Tack för hjälpen
Det blev samma svar

Ja, svaret är detsamma, men den här gången är vägen till svaret korrekt.
