3
svar
153
visningar
Na5a behöver inte mer hjälp
envariabelanalys : Är det bara så?
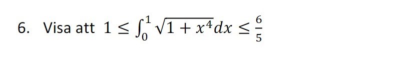
Jag ska uppgift nr 6

och ser att facit är endast

Är det bara så? Finns det inte någon integralberäkning eller liknande?
Problemet är att integralen du har i mitten av olikheten saknar en elementär primitiv funktion. Du får alltså resonera dig fram istället för att försöka beräkna just den integralen.
Du kan tänka att , och sedan illustrera olikheten på följande sätt.
Blå:
Röd:
Grön:

Tack!