3 svar
197 visningar
daka behöver inte mer hjälp
daka 35
Postad: 21 feb 2024 15:17

Envariabelanalys, gränsvärden

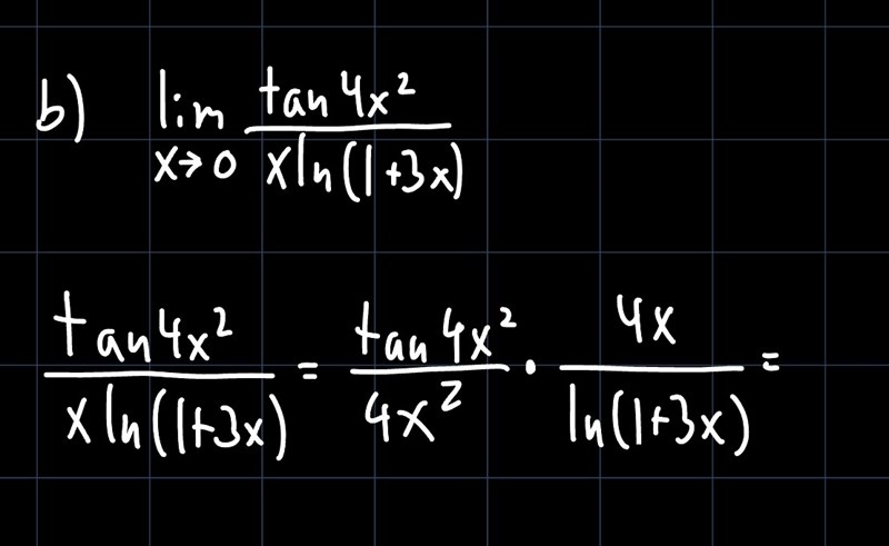
Lite osäker på hur jag ska fortsätta här, tror uppgiften ska lösas med standardgränsvärdet tanx/x = 1

Magnus O 316 – Livehjälpare
Postad: 21 feb 2024 15:37

Enligt Wolfram Alpha blir gränsvärdet 4/3

https://www.wolframalpha.com/input?i=limit+x-%3E0+tan%284x%5E2%29%2F%28x*ln%281%2B3x%29%29

Man kan räkna ut det som du gjort men fortsätt lite till bara.

tan(4x^2)/(4x^2) * 4x/ln(1+3x) =

tan(4x^2)/(4x^2) * 4/3 * 3x/ln(1+3x) =

när x->0 blir det enligt standardgränsvärden (kolla tabell)

1 * 4/3 * 1

daka 35
Postad: 21 feb 2024 15:46
Magnus O skrev:

Enligt Wolfram Alpha blir gränsvärdet 4/3

https://www.wolframalpha.com/input?i=limit+x-%3E0+tan%284x%5E2%29%2F%28x*ln%281%2B3x%29%29

Man kan räkna ut det som du gjort men fortsätt lite till bara.

tan(4x^2)/(4x^2) * 4x/ln(1+3x) =

tan(4x^2)/(4x^2) * 4/3 * 3x/ln(1+3x) =

när x->0 blir det enligt standardgränsvärden (kolla tabell)

1 * 4/3 * 1

Snyggt, blir fan galen av dessa uppgifter. "Lätta" lösningar men ändå svåra att se, har du något tips?

Magnus O 316 – Livehjälpare
Postad: 21 feb 2024 16:17

Det är nog bara att träna så blir du bättre. Tyckte också att gränsvärden var svårt i början. Försök lär dig alla standardgränsvärden utantill, om du inte får använda en tabell alltså.

Svara
Close